Revista de la Facultad de Ciencias Agrarias. Universidad Nacional de Cuyo. Tomo 53(2). ISSN (en línea) 1853-8665. Año 2021.
Original article
Crop coefficient estimated by degree-days for ‘Marandu’ palisadegrass and mixed forage
Coeficiente de cultivo estimado por grados-día para el pasto en empalizada ‘Marandu’ y el forraje mixto
Arthur Carniato Sanches 2
Fernando Campos Mendonça 1
José Ricardo Macedo Pezzopane 3
Danielle Morais Amorim 1
Fernanda Lamede Ferreira de Jesus 4
1 Universidade de São Paulo. Escola Superior de Agricultura “Luiz de Queiroz” (ESALQ). Piracicaba. São Paulo. Brasil.
2 Universidade Federal da Grande Dourados. Faculdade de Ciências Agrárias (FCA). Dourados. Mato Grosso do Sul.
3 Embrapa Pecuária Sudeste. São Carlos. São Paulo. Brasil.
4 Universidade Federal Rural da Amazônia - UFRA. Departamento de Engenharia Agrícola. Tomé Açu. Pará. Brasil.
Abstract
Considering profitability in pasture-based systems, investigating parameters affecting crop coefficients for irrigation management becomes important. In this experiment, we determined the crop coefficient of ‘Marandu’ palisadegrass based on accumulated degree-days and estimated plant water consumption under single (‘Marandu’ palisadegrass) and mixed (‘Marandu’ palisadegrass + black oats + Italian ryegrass) cropping regimes. The research was conducted at the Luiz de Queiroz College of Agriculture in Piracicaba, São Paulo, Brazil, between 2016 and 2017. Evapotranspiration was assessed using weighing lysimeters while crop evapotranspiration was calculated using mean weight variation. Reference evapotranspiration and degree-days were estimated. Data were obtained from an automated weather station. Equations and regression models relating crop coefficient with accumulated degree-days were generated for two seasons (spring/summer and autumn/ winter) and evaluated for two year-cycles, from 2015 to 2018. The results showed better prediction accuracy for the single cropping system in spring/summer 2017-18.
Keywords: Degree-days; Evapotranspiration; Water consumption; Forage.
Resumen
Considerando la importancia económica de los pastos, existe una necesidad de investigar los parámetros que afectan los coeficientes de cultivo utilizados para el manejo del riego. En este experimento, nuestro objetivo fue determinar el coeficiente de cultivo del pasto ‘Marandu’ en función de la acumulación de grados-días y estimar el consumo de agua del cultivo puro (pasto ‘Marandu’) y del cultivo mixto (pasto ‘Marandu’ + avena negra + raigrás italiano) regímenes de cultivo. La investigación se llevó a cabo en la Escuela de Agricultura Luiz de Queiroz en Piracicaba/SP, Brasil, entre 2016 y 2017, en este periodo se registró la evapotranspiración utilizando lisímetros de pesaje. La evapotranspiración del cultivo se calculó utilizando la variación de peso promedio registrada por lisímetros. Los datos de una estación meteorológica automatizada se utilizaron para estimar la evapotranspiración de referencia y calcular los grados-días. Se generaron ecuaciones y modelos de regresión con relación al coeficiente de cultivo y los grados-días acumulados durante dos períodos estacionales (primavera/verano y otoño/invierno). Los modelos matemáticos se probaron durante dos ciclos anuales, de 2015 a 2018 y mostraron mejores resultados, en términos de precisión y exactitud, en el sistema de cultivo único en primavera/verano en los años 2017/18.
Palabras clave: Grados-días; Evapotranspiración; Consumo de agua; Forraje.
Originales: Recepción: 30/06/2020
Aceptación: 30/06/2021
Introduction
Intensive agriculture has improved productivity by investing in several crop-management practices, including irrigation and fertilization (12, 14, 36). Since pastures are major fodder sources for cattle in Brazil, intensification of pasture production turns key for the cultivation and management of this crop.
Occupying a vast territory, pastures are subjected to a wide range of environmental conditions, particularly temperature, light, and rainfall. Outranged environmental magnitudes for pasture production compromise vegetative development, expressed as low biomass accumulation and marked production seasonality (20, 23, 33). Meteorological conditions prevailing during winter impair tropical and subtropical forage crops, whereas spring/summer favor high forage productivity (25, 28).
In order to reduce fertilization and counteract low pasture yields during winter, cultivation of temperate forage species has been identified as an alternative for these cultivation systems. Good results have been reported for forage nutritional value and animal production (13). However, mixed cropping systems, where two or more species are co-cultivated using the overseeding method, cause changes in crop water requirements. Therefore, estimating these changes in irrigated pasture systems turns essential.
Adequate information on plant and microclimate interaction constitutes one major factor for accurate irrigation management (6, 29). Crop water requirements can be calculated after plant water losses through transpiration and soil evaporation, termed crop evapotranspiration (ETc). Estimated reference evapotranspiration (ETo) calculated using meteorological data, is then converted to ETc using a crop coefficient (Kc) as a correction factor, while the precise ETc can be determined using a weighing lysimeter (4).
In established pastures, the Kc varies depending on crop growth and landscape, such as after sowing, seed germination, or forage grazing (7, 17, 18, 27, 31). However, as the grazing cycle is defined by species, climate, and animal characteristics, this approach turns imprecise and avoided for tropical forage crops.
Air temperature is used to calculate degree-days, expressing available thermal units for crop growth. Accumulated degree-days (ADD) are also used to estimate the correct Kc for irrigation management. Thus, Kc-as estimated by ADD-varies with ambient temperature, influencing crop growth and cycle (16). Therefore, alternative methods for Kc estimation may be particularly useful for the dynamics of irrigated pastures. Therefore, in this study and using the weighing-lysimeter method, we aimed to measure Kc for growth cycles of ‘Marandu’ forage, a palisadegrass cultivar (Urochloa brizantha). The study took place during 2016 and 2017 and developed an adjustable regression model relating Kc and ADD during the four seasons, evaluated when applied to previous and subsequent years.
Materials and methods
Experimental site and soil classification
The field experiment was conducted at the Luiz de Queiroz College of Agriculture (ESALQ/USP), Piracicaba, São Paulo (latitude 22°42ʹ S, longitude 47°38ʹ W, altitude 546 m) in Brazil. The soil is classified as Ferralic Nitisol (38), with 48.6% clay, 32.5% sand, and 18.9% silt (0-0.4 m).
Soil chemical characteristics were determined prior experiment: pH = 5.1, P(resin) = 52 mg dm-3, K = 0.69 cmolc dm-3, Ca = 2.6 cmolc dm-3, Mg = 1.4 cmolc dm-3, H + Al = 3.65 cmolc dm-3, Al = 0.2 cmolc dm-3, and CEC = 8.34 cmolc dm-3. Soil preparation included plowing and harrowing, weed control, Ph correction, and fertilization adjustment.
Forage cultivation
The experimental area included two, 144 m² plots. The area surrounding the experimental plots was covered with irrigated pastures and sugarcane. Only one close field had bare soil. Reading errors lead by bare soil, affecting evapotranspiration, were identified and excluded from daily calculations after verifying hot air mass entrances.
Initially, both plots were direct-seeded by broadcasting 15 kg ha-1 of ‘Marandu’ palisadegrass. Similar crop management practices were followed in both plots. After crop establishment (~70 days), the grass was cut to a standard height of 0.15 m above soil surface using a brush cutter. In autumn, one plot was kept for a single cropping system under ‘Marandu’ palisadegrass. Meanwhile, and to create a mixed cropping system, the other plot was direct-seeded (broadcasting) with 100 kg seeds ha-1 of black oats (Avena strigosa ‘Embrapa 29 (Garoa)’) and 60 kg seeds ha-1 Italian ryegrass (Lolium multiflorum ‘Fepagro São Gabriel’). This created a pasture comprising three different forage crops during autumn and winter.
Cutting cycles were grouped according to seasons: summer (February to March 2016, and December 2016 to January 2017), autumn (April to June 2016), winter (July 2016 to October 2016), and spring (October to December 2016). After each cut, the plots were fertilized with 80 kg ha-1 urea during spring and summer and 50 kg ha-1 during autumn and winter. The Average total forage yield (TFY) was calculated as the sum of leaf and stem dry mass (DM), after kiln drying.
Forage cutting in the single-cropped plot (‘Marandu’ palisadegrass), was performed every 28 days during spring and summer, extended to 40 days during autumn and winter. In the mixed-cropped plot (‘Marandu’ palisadegrass + black oats + ryegrass), harvest was performed at intervals ranging from 24 to 40 days when the canopy had exceeding 95% light interception, measured with a LAI-2000 Plant Canopy Analyzer (LI-COR Environmental, Lincoln, Nebraska USA).
All experimental plots were irrigated with a conventional sprinkler system, operating via a sectoral mechanism at a flow rate of 590 L h-1 and running at a pressure of 245 kPa. The quantity of water applied was determined by weighing-lysimeter readings (in L/m2 or mm), considering the lysimeter depth (z = 0.58 m) as the maximum crop root depth. In tropical forages, most roots are detected down to 0.60 m, and 70% of all roots are concentrated within the first 0.30 m depth (2, 21, 34).
An irrigation interval kept soil moisture content (SMC) over 70% (recommended for Kc estimate), between field capacity (θfc) and lowest soil water content (θwp). It was measured within 15 bars to standard atmospheric pressure (SMC ≥ 0.7 [Өfc − Өwp]), guaranteeing null soil water deficit, and accurate Kc data.
Evapotranspiration and accumulated degree-days
Crop evapotranspiration (ETc) in the experimental plots was estimated using two lysimeters, made of a PVC box (500 L), of 1.22 m² and 0.58 m depth (26), with an automatic drainage system. Both sets were calibrated and controlled by a datalogger program (26). Lysimeter measurements were recorded every 15 min and converted into 1-day interval data. Values exceeding 0.20 mm in a 15 min interval, caused by excessive rainfall or evapotranspiration, were excluded. Brief periods of high evapotranspiration and consequent ETc fluctuations arose during hot transient air masses originated from exposed soil and arriving mainly from the north, northwest, west, and occasionally, from the southwest.
Daily degree-days (DDi) were calculated based on temperature (22). Equation 1 was used when crop basal temperature (Tb) was lower than minimum daily temperature (Tmin), and eq. 2, when Tb exceeded Tmin. Meteorological data were obtained from the ESALQ Meteorological Station, located 100 m from the experimental area. Data for Tmin, and Tmax are shown in Figure 1.
Graphs are divided sequentially according to season (Summer, Autumn, Winter, Spring).
En ambas figuras, los gráficos se dividen secuencialmente según estación (verano, otoño, invierno, primavera).
Figure 1: a. Minimum (Tmin) and maximum (Tmax) air temperatures during 2016 - 2017. b. Daily degree-days (DD) during 2015 - 2016 (DD15-16), 2016 - 2017 (DD16-17), and 2017 - 2018 (DD17-18) in Piracicaba, São Paulo, Brazil.
Figura 1: a. Temperaturas mínimas (Tmin) y máximas (Tmax) del aire durante 2016 - 2017; b. Los grados-días (DD) diarios durante los períodos 2015 -2016 (DD15-16), 2016 - 2017 (DD16-17) y 2017 - 2018 (DD17-18) en Piracicaba, São Paulo, Brasil.
Reference evapotranspiration (ETo) (Penman-Monteith model, 2, 3) for different cycles is shown in Table 1.
Table 1: Reference evapotranspiration (ETo) for each period from 2016 to 2017 in Piracicaba/SP, Brazil.
Tabla 1: Evapotranspiración de referencia (ETo) por período de 2016 a 2017 en Piracicaba/SP, Brasil.

Single cropping cycles are divided sequentially according to season (Su = summer, A = autumn, W = winter, Sp = spring).
Los ciclos para un solo cultivo se dividen secuencialmente según la temporada (Su = verano, A = otoño, W = invierno, Sp = primavera).
(1)
(2)
In equations 1 and 2:
DDi = daily degree-days,
Tmax = maximum daily temperature in °C,
Tmin = minimum daily temperature in °C (Figure 1a),
Tb = basal crop temperature for the single-cropped ‘Marandu’ palisadegrass plot, which was considered to be 10.6 °C (26). This same basal temperature was applied for plots with palisadegrass mixed with black oats and Italian ryegrass.
It should be noted that ADD was also estimated for the original cropping cycles (28 days for spring/summer and 40 days for autumn/winter), with 11 productive cycles for single-cropped ‘Marandu’ palisadegrass and five cycles of the same forage in the overseeded mixed-cropping regime (‘Marandu’ palisadegrass + black oats + ryegrass).
The summed DD values for each cropping cycle comprised all accumulated degree-days (ADD). The Kc values were obtained as ETc/ETo. Daily values of Kc were averaged over 4-day intervals obtaining mean daily values and reducing possible distortions due to water flow within the lysimeters. The Kc values of the studied forage crops were grouped as follows: single-cropped pasture during spring-summer (Sp/Su) and autumn-winter (A/W), and the overseeded mixed-cropped pasture during A/W. Subsequently, daily Kc means were correlated with ADD for each cutting cycle verifying if ADD could be used in Kc determinations.
Statistical analysis
Kc and ADD data were correlated using SigmaPlot software for regression analysis, with equations adjusted for the entire experimental period according to seasons. For 2015- 2016 and 2017-2018 periods (prior and after the experiment, respectively), climate data was collected from a weather station located near the experimental area. For both periods, second-order polynomial models (Kc vs. ADD) were generated (R2 ≥ 0.97). Kc was estimated according to eq3, based on the calculated ADD in the simulated sequences for 2015-2016 and 2017-2018.
(3)
Degree-days were counted from February 11, 2016 to January 31, 2017 (355 days), according to the original experimental period. The same periods were adopted for 2015- 2016 and 2017-2018.
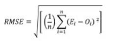
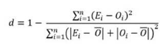
Using the generated regression models, Kc values were estimated for these years. Estimation accuracy was evaluated by the mean error (ME; eq 4), the root mean square error (RMSE; eq 5), Willmott’s concordance index d (37), and confidence index c (10, eq 6 and 7).
(4)
(5)
(6)
(7)
In the equations:
n = the number of data points,
Ei = the estimated data,
Oi = the observed data.
Results
Regression curves for Kc means vs. ADD in single-cropped ‘Marandu’ palisadegrass were divided into two periods: Sp/Su and A/W, as shown in Figure 2.
.
Figure
2: Empirical models for accumulated
degree-days (ADD) and crop coefficient (Kc)
during spring (Sp) and summer (Su) (ADDSpSu vs.
KcSpSu)
(●); and
autumn (A) winter (W) (ADDAW vs. KcAW) (O).
Equation parameters (a, b, c) and coefficient of determination (R²) for
single-cropped Marandu palisadegrass during the experimental period February
2016 to January 2017; Piracicaba, São Paulo, Brazil.
Figura 2:
Modelos
empíricos de coeficiente de cultivo (Kc) y grados-días acumulados (ADD) durante
la primavera (Sp) y el verano (Su) (ADDSpSu vs. KcSpSu) (●);
y otoño (A) invierno (W) (ADDAW vs. KcAW) (O).
Parámetros de la ecuación (a, b, c) y coeficiente de determinación (R²) para el
pasto Marandu de un solo cultivo durante el experimento (febrero de 2016 a
enero de 2017); Piracicaba, São Paulo, Brasil.
For both periods, second-order polynomial models (Kc vs. ADD) were generated (R2 ≥ 0.97). During A/W, maximum Kc (Kc max = 0.82) was obtained at an ADD of 160 °C·days (°C × days, degree-days), whereas in Sp/Su, Kc max reached 0.90 at an ADD of 280 °C·days (Figure 2).
Mean minimum Kc values (Kc min) determined at the beginning of the study periods were 0.50 for Sp/Ss and 0.67 for A/W. ADD values for spring and autumn were 375.82 °C·days and 355.25 °C·days, respectively (Figure 2). ETc was largely ranged during Sp/Su (0.54-6.57) than during the A/W (0.64-5.62), as shown in Table 2.
Table 2: Reference evapotranspiration (ETo) and crop evapotranspiration for single-cropped ‘Marandu’ palisadegrass (ETc_sc) and for palisadegrass overseeded with black oats and Italian ryegrass (ETc_o), and total forage yield (TFY) in kg of dry mass (DM) per each period from 2016 to 2017 in Piracicaba/SP, Brazil.
Tabla 2: Evapotranspiración de cultivos para pasto Marandu de un solo cultivo (ETc_sc) y para pasto Marandu sobre sembrado con avena negra y de raigrás italiano(ETc_o) y rendimiento total de forraje (TFY) en kg materia seca (DM) para cada período de 2016 a 2017 en Piracicaba/SP, Brasil.

Cycles for single cropping are sequentially divided according to season (Su = summer, A = autumn, W = winter, Sp = spring).
Los ciclos para un solo cultivo se dividen secuencialmente según la temporada (Su = verano, A = otoño, W = invierno, Sp = primavera).
Kc mean values obtained in the present study were lower than those previously reported, but observed Kcmax under ‘Marandu’ palisadegrass in summer, reached 1.20. In addition, except for cycle 1 (establishment), each cycle reached a similar productive potential to that observed by other authors (Table 2). The TFY values for the single-cropping system in each season were 13927.9 kg DM ha-1 (summer), 5803.6 kg DM ha-1 (spring), 5624.6 kg DM ha-1 (autumn), and 4187.8 kg DM ha-1 (winter). These values sum a total of 29543.9 kg DM ha-1 yr-1 in the single-cropping system. The TFY in the mixed-cropping system was 11343.74 kg DM ha-1 as recorded in a 155-day period (Table 2).
In Figure 3, mean Kc for palisadegrass mixed of black oats and Italian ryegrass was similar to that obtained for the single-cropped system.
Figure 3: Empirical models of accumulated degree-days (ADD) and crop coefficient (Kc) during autumn/winter for palisadegrass mixed of black oats and Italian ryegrass (■), Piracicaba, São Paulo, Brazil.
Figura 3: Modelos empíricos de coeficiente de cultivo (Kc) y grados-días acumulados (ADD) durante el otoño/invierno para pastos mixtos de avena negra y raigrás italiano (■), Piracicaba, São Paulo, Brazil.
However, at the end of the cycle, Kc values did not decrease, as previously seen for the single-cropped pasture during AW (Figure 2).
The Kc vs. ADDa equation (Figure 2, Figure 3) was used for Kc estimates based on calculated ADD in the simulated sequences for the years 2015-2016 and 2017-2018, as shown in Table 3. The estimated Kc resulted in R2 exceeding 0.92 for both Sp/Su and A/W periods, resulting in greater accuracy (higher coefficient d) and lower error in the Sp/Su estimation. Regarding the second year, 2017-2018, R2 exceeded 0.95, improving the Sp/Su estimation (Table 3).
Table 3: Determination coefficient (R²*), Willmott’s index (d), Camargo and Sentelhas, (1997) index (c), mean error (ME), and root mean squared error (RMSE) of empirical models of Kc estimated from accumulated degree-days over 2 years. Observed vs. simulated Kc values for Piracicaba/SP, Brazil.
Tabla 3: Coeficiente de determinación (R²*), índice de Willmott (d), Camargo y Sentelhas, (1997) índice (c), error medio (ME) y error cuadrático medio (RMSE) de modelos empíricos de Kc estimados a partir de grados-días acumulados durante 2 años. Valores de Kc observados versus simulados para Piracicaba/SP, Brasil.

Error analysis determined the Willmott’s index (Table 3). Mean errors (ME) were negative, indicating differences between model estimations and observed data in the field experiment. Observed values were higher than estimated values (with the largest error of 0.0641) in the single-cropped system during A/W. In the same period, the largest root mean square error (RMSE) was 0.11.
During the experimental year, ADD values reached approximately 404 °C·days (DD during spring and summer, and 360 °C·days during autumn and winter. In the previous annual period (2015-2016), mean values for Sp/Su and A/W were 443 and 438 °C·days, respectively, whereas in the subsequent annual period (2017-2018), ADD reached 383 and 379 °C·days, respectively.
Discussion
The decreasing Kc values for single-cropped ‘Marandu’ palisadegrass during autumn and winter (Figure 2) may be related to low biomass accumulation and extensive leaf senescence during this phase, leading to reduced tropical forage production and lower water requirements. In this regard, some authors have shown that even in irrigated cropping systems, biomass yield in colder seasons (A/W) is approximately 50% lower than that produced during warmer periods (1).
The coefficients of determination (R2) for the observed vs. estimated data in 2017-2018 were higher than those in 2015-2016, keeping high accuracy for both periods. According to the categories for the c index (10), the present model can be considered excellent, except for simulations obtained for A/W, 2015-2016.
The Sp/Su and A/W periods showed a different ADD value for Kc max obtention, with a greater maximum for Sp/Su. Other related studies on tropical forages have presented Kc max values of 1.04 to 1.25 for Megathyrsus maximus ‘Tanzania’; 1.04 to 1.54 for Megathyrsus maximus ‘Mombaça’; and 1.33 for Urochloa brizantha ‘Piatã’ (5, 9, 15, 19). In our study, curves of Kc vs. ADD were constructed by grouping mean Kc values for Sp/Su, resulting in an average Kc max value of 0.90, while the original data indicated a Kc max value of 1.27. This difference can be explained by the plant -atmosphere interaction-a concept known as coupling-observed by other authors (30, 32) throughout the year. During the beginning of the Sp/Su cycles, high temperatures may have resulted in the crop-atmosphere decoupling, making evapotranspiration largely determined by solar radiation, resulting in lower Kc values. This differs from the beginning of the A/W period, when temperature, solar radiation, air humidity and cloud cover tend to be lower. These physiological parameters need to be more accurately determined in future studies. Literature on tropical pasture reports the optimum and maximum temperatures for vegetative development to be 40 °C, and 45 °C, respectively (24). Thus, given that maximum daily temperature recorded over the studied years was between 37.3 °C and 38.7 °C an influence on growth is not considered a significant factor in this study.
During autumn and winter, Kc models for the intercropped forage showed different behaviors compared to the models for single-cropped ‘Marandu’ palisadegrass (Figure 3). In a well-managed intercropped system, water use efficiency (in terms of forage yield and water consumption) may be higher than in a single-cropped system (11, 39). Furthermore, the use of climatically adapted species may guarantee stable productivity through the intercropping cycles (35).
Estimation models applied to the 2016-2017 experimental cycle of Kc versus ADD for single-cropped ‘Marandu’ palisadegrass in the Sp/Su and A/W periods showed high precision (R²≥ 0.97). In addition, during winter, the mixed-cropping system reached an R2 ±0.93.
When these equations were tested against two other experimental-year data sets considering ADD value as an input parameter, they showed high precision (R2 between 0.93 and 0.98), accuracy (d values from 0.86 to 0.99), and confidence (c values between 0.83 and 0.98). A higher error was detected during A/W given that, during this period, the tropical pastures showed major productivity variances. Kc and ADD in pasture-irrigation management can be widely adopted given their versatility to cope with grazing rotation (8).
Conclusions
Seasonal Kc was measured by the weighing-lysimeter method for growth cycles of the palisadegrass ‘Marandu’ cultivar and the overseeded pasture of palisadegrass, black oat, and Italian ryegrass. When tested via regression modeling and estimated by accumulated degree-days (ADD) this model showed accurate results. The equations developed for the spring/summer season and the intercropped system showed higher correlations than autumn/winter. The models can be used to estimate Kc with ADD, only requiring minimum and maximum air temperature measurements for Kc estimate, easy in irrigation management.
Acknowledgements
The authors thank the Sao Paulo Research Foundation (FAPESP) for financial support with the regular research project number 2012/23002-6. This study was also financed by the Coordenação de Aperfeiçoamento de Pessoal de Nível Superior of Brazil (Capes), finance code 001. The authors declare no conflict of interest.
1. Alencar, C. A. B. de; Cunha, F. F. da; Martins, C. E.; Cóser, A. C.; Oliveira, R. A. de; Araújo, R. A. S. 2013. Adubação nitrogenada e estações anuais na produção de capins irrigados no leste mineiro sob corte. Revista Brasileira de Saúde e Produção Animal, 14(3): 413-425.
2. Allen, R. G.; Pereira, L. S.; Raes, D.; Smith, M. 1998. Crop evapotranspiration: Guidelines for computing crop requirements. Irrigation and Drainage Paper N° 56, FAO 56, 300. http://www.kimberly.uidaho.edu/water/fao56/fao56.pdf
3. Allen, R. G.; Pruitt, W. O.; Wright, J. L.; Howell, T. A.; Ventura, F.; Snyder, R.; Itenfisu, D.; Steduto, P.; Berengena, J.; Yrisarry, J. B.; Smith, M.; Pereira, L. S.; Raes, D.; Perrier, A.; Alves, I.; Walter, I.; Elliott, R. 2006. A recommendation on standardized surface resistance for hourly calculation of reference ETo by the FAO56 Penman-Monteith method. Agricultural Water Management. 81(1-2): 1-22.
4. Allen, R. G.; Pereira, L. S.; Howell, T. A.; Jensen, M. E. 2011. Evapotranspiration information reporting: I. Factors governing measurement accuracy. Agricultural Water Management. 98(6): 899-920.
5. Antoniel, L. S.; Prado, G. de; Tinos, A. C.; Beltrame, G. A.; Almeida, J. V. C. de; Cuco, G. P. 2016. Pasture production under different irrigation depths. Revista Brasileira de Engenharia Agrícola e Ambiental. 20(6): 539-544.
6. Artur, A. G.; Garcez, T. B.; Monteiro, F. A. 2014. Water use efficiency of marandu palisadegrass as affected by nitrogen and sulphur rates. Revista Ciência Agronômica. 45(1): 10-17.
7. Barbosa, B. D. S.; Oliveira, F. G.; Figueiredo, F. P. de. 2015. Determinação do coeficiente de cultivo (Kc) do capim Tanzânia no norte de Minas Gerais. Irriga, Edição Esp (IRRIGA e INOVAGRI). 11-20.
8. Birendra, K. C.; Mohssen, M.; Chau, H.; Curtis, A.; Cuenca, R.; Bright, J.; Safa, M. 2018. Irrigation strategies for rotational grazing pasture in Canterbury, New Zealand, and impacts on irrigation efficiency. Irrigation and Drainage, 67(5): 779-789. https://doi.org/10.1002/ird.2290
9. Bueno, M. R.; Teodoro, R. E. F.; Alvarenga, C. B. de; Gonçalves, M. 2009. Determinação do coeficiente de cultura para o capim tanzânia. Bioscience Journal. 25(5): 29-35.
10. Camargo, A. P.; Sentelhas, P. C. 1997. Valiação do desempenho de diferentes métodos de estimativas da evapotranspiração potencial no Estado de São Paulo. Revista Brasileira de Agrometeorologia. 5(1): 96-97.
11. Chimonyo, V. G. P.; Modi, A. T.; Mabhaudhi, T. 2016. Simulating yield and water use of a sorghum-cowpea intercrop using APSIM. Agricultural Water Management. 177: 317-328, http:// dx.doi.org/10.1016/j.agwat.2016.08.021
12. Curto, L.; Covi, M.; Gassmann, M. I. 2019. Actual evapotranspiration and the pattern of soil water extraction of a soybean (Glycine max) crop. Revista de la Facultad de Ciencias Agrarias. Universidad Nacional de Cuyo. Mendoza. Argentina. 51(2): 125-141.
13. Duchini, P. G.; Guzatti, G. C.; Ribeiro Filho, H. M. N.; Sbrissia, A. F. 2014. Tiller size/density compensation in temperate climate grasses grown in monoculture or in intercropping systems under intermittent grazing. Grass and Forage Science. 69(4): 655-665.
14. Farias, L. do N.; Zanine, A. de M.; Ferreira, D. de J.; Ribeiro, M. D.; de Souza, A. L.; Valério Geron, L. J.; Araujo Pinho, R. M.; Santos, E. M. 2019. Effects of nitrogen fertilization and seasons on the morphogenetic and structural characteristics of Piatã (Brachiaria brizantha) grass. Revista de la Facultad de Ciencias Agrarias. Universidad Nacional de Cuyo. Mendoza. Argentina. 51(2): 42-54.
15. Gargantini, P. E.; Hernandez, F. B. T.; Vanzela, L. S.; Lima, R. C. 2005. Irrigação e adubação nitrogenada em capim Mombaça na região oeste do estado de São Paulo. In: XV Congresso Nacional de Irrigação e Drenagem.
16. Guerra, E.; Ventura, F.; Spano, D.; Snyder, R. L. 2014. Correcting midseason crop coefficients for climate. Journal of Irrigation and Drainage Engineering. 141(6): 1-7.
17. Lena, B. P.; Flumignan, D. L.; Faria, R. T. de. 2011. Evapotranspiração e coeficiente de cultivo de cafeeiros adultos. Pesquisa Agropecuaria Brasileira. 46(8): 905-911.
18. Lena, B. P.; Faria, R. T. de; Dalri, A. B.; Palaretti, L. F.; Santos, M. G. dos. 2016. Performance of SMA-C model on crop evapotranspiration estimation. African Journal of Agricultural Research. 11(21): 1894-1901. http://academicjournals.org/journal/AJAR/articleabstract/5A9AFF358703
19. Lourenço, L. F.; Coelho, R. D.; Soria, L. G. T.; Pinheiro, V. D. 2001. Coeficiente de cultura (Kc) do capim Tanzânia (Panicum maximum Jacq) irrigado por pivô central. In: Reunião Anual da Sociedade Brasileira de Zootecnia, 38,
20. Moreno, L. S. B.; Pedreira, C. G. S.; Boote, K. J.; Alves, R. R. 2014. Base temperature determination of tropical Panicum spp. grasses and its effects on degree-day-based models. Agricultural and Forest Meteorology. 186: 26-33.
21. Peek, M. S.; Leffler, A. J.; Ivans, C. Y.; Ryel, R. J.; Caldwell, M. M. 2005. Fine root distribution and persistence under field conditions of three co-occurring Great Basin species of different life form. New Phytology, 165: 171-180.
22. Pereira, A. R.; Angelocci, L. R.; Sentelhas, P. C. 2002. Agrometeorologia: fundamentos e aplicações práticas. Guaíba: Agropecuária. 183.
23. Pezzopane, J. R. M.; Santos, P. M.; Evangelista, S. E. M.; Bosi, C.; Cavalcante, A. C. R.; Bettiol, G. M.; Gomide, C. A. M.; Pellegrino, G. Q. 2016. Panicum maximum cv. Tanzânia: climate trends and regional pasture production in Brazil. Grass and Forage Science. 72: 104-117. doi. org/10.1111/gfs.12229
24. Pezzopane, J. R. M.; Santos, P. M.; Cruz, P. G. da; Bosi, C.; Sentelhas, P. C. 2018. An integrated agrometeorological model to simulate Marandu palisadegrass productivity. Field Crops Research. 13-21. https://doi.org/10.1016/j.fcr.2018.04.015
25. Ruggieri, A. C.; Galzerano, L.; Silva, W. L. 2013. Interação entre plantas em ambientes de pastagens. In: Forragicultura: ciência, tecnologia e gestão de recursos forrageiros. Jaboticabal: Maria de Lourdes Brandel-ME, 714.
26. Sanches, A. C.; Souza, D. P. de; Mendonça, F. C.; Maffei, R. G. 2017. Construction and calibration of weighing lysimeters with an automated drainage system. Revista Brasileira de Engenharia Agrícola E Ambiental. 21(7): 505-509. https://doi.org/10.1590/1807-1929/agriambi. v21n7p505-509
27. Santos, W. D. O.; Sobrinho, J. E.; Medeiros, J. F. de; Moura, M. S .B. de; Nunes, R. L. C. 2014. Coeficientes de cultivo e necessidades hídricas da cultura do milho verde nas condições do semiárido Brasileiro. Irriga. 19(4): 559-572.
28. Silva, C. E. K.; Menezes, L. F. G.; Ziech, M. F.; Kuss, F.; Ronsani, R.; Biesek, R. R.; Boito, B.; Lisbinski, E. 2012. Sobressemeadura de cultivares de aveia em pastagem de estrela-africana manejada com diferentes resíduos de forragem. Ciências Agrárias. 33(6): 2441-2450.
29. Silveira, M. C. T. da; Nascimento Júnior, D. do; Rodrigues, C. S.; Pena, K. da S.; Souza, S. J. de; Barbero, L. M.; Limão, V. A.; Euclides, V. P. B.; Silva, S. C. da. 2016. Forage sward structure of Mulato grass (Brachiaria hybrid ssp.) subjected to rotational stocking strategies. Australian Journal of Crop Science. 10(6): 864-873.
30. Sobenko, L. R.; Souza, T. T.; Gonçalves, A. O.; Bianchini, V. J. M.; Silva, E. H. F. M.; Souza, L. T.; Marin, F. R. 2018. Irrigation requirements are lower than those usually prescribed for a maize crop in southern Brazil. Experimental Agriculture. 55(4): 662-671.
31. Souza, A. P. de; Pereira, J. B. A.; Silva, L. D. B. da, Guerra, J. G. M.; Carvalho, D. F. de 2011a. Evapotranspiração, coeficientes de cultivo e eficiência do uso da água da cultura do pimentão em diferentes sistemas de cultivo. Acta Scientiarum-Agronomy. 33(1): 15-22.
32. Souza, T. T. de; Bianchini, V. de J. M.; Vianna, M. dos S.; Marin, F. R. 2011b. Regime de acoplamento planta-atmosfera em lavouras de milho cultivadas em duas épocas. Revista Brasileira de Geografia Física, 10(4): 1134-1142.
33. Stumpf, L.; Pauletto, E. A.; Pinto, L. F. S.; Pinto, M. A. B.; Dutra Junior, L. A.; Scheunemann, T. 2016. Sistema radicular da Urochloa brizantha: desenvolvimento e influência nos atributos de um solo degradado. Interciencia, 41(5): 334-339.
34. Tonato, F.; Barioni, L. G.; Pedreira, C. G. S.; Dantas, O. D. D.; Malaquias, J. 2010. Desenvolvimento de modelos preditores de acúmulo de forragem em pastagens tropicais. Pesquisa Agropecuária Brasileira, Brasília. 45(5): 522-529.
35. Tonato, F.; Pedreira, B. C. E; Pedreira, C. G. S.; Pequeno, D. N. L. 2014. Aveia preta e azevém anual colhidos por interceptação de luz ou intervalo fixo de tempo em sistemas integrados de agricultura e pecuária no Estado de São Paulo. Ciência Rural, 44(1): 104-110.
36. Vogeler, I.; Thomas, S.; van der Weerden, T. 2019. Effect of irrigation management on pasture yield and nitrogen losses. Agricultural Water Management. 216: 60-69.
37. Willmott, C. J.; Ackleson, S. G.; Davis, R. E.; Feddema, J. J.; Klink, K. M.; Legates, D. R.; O’donnell, J.; Rowe, C. M. 1985. Statistics for the evaluation and comparison of models. Journal of Geophysical Research: Oceans. 90(C5): 8995-9005. http://dx.doi.org/10.1029/JC090iC05p08995
38. WRB, I. W. G. 2015. World Reference Base for Soil Resources 2014: International soil classification systems for naming soils and creating legends for soil maps. In W. S. Resources (Ed.), World Soil Resources Reports N° 106. Retrieved from http://www.fao.org/soils-portal/soilsurvey/soil-classification/world-reference-base/en/
39. Yang, C.; Huang, G.; Chai, Q.; Luo, Z. 2011. Water use and yield of wheat/maize intercropping under alternate irrigation in the oasis field of northwest China. Field Crops Research, 124: 426-432. https://doi.org/10.1016/j.fcr.2011.07.013.