Revista de la Facultad de Ciencias Agrarias. Universidad Nacional de Cuyo. Tomo 53(2). ISSN (en línea) 1853-8665. Año 2021.
Original article
The role of fuel prices in spatial price transmission between horticultural markets: empirical analysis from a developing country
El rol del precio de combustible en la transmisión espacial de precios en mercados hortícolas de países en desarrollo
Rodrigo Valdes 1
1 Pontificia Universidad Católica de Valparaíso. Facultad de Ciencias Económicas y Administrativas. Escuela de Negocios y Economía. Avenida Brasil 2830. Piso 7. Valparaíso. Chile. rodrigo.valdes@pucv.cl
Abstract
This article aims to analyze how fuel prices impact spatial price transmission between two Chilean horticultural wholesale markets. We implement a regime-dependent VECM where price transmission parameters depend on dynamics imposed by a stationary exogenous variable (fuel price). We identified two price transmission regimes characterized by different equilibrium relationships and short-run adjustment processes. This implies that fuel prices affect price transmission elasticities and intermarket adjustment speeds. Our results show increasing marketing costs as farm to market distance grows. This impact depends on each product’s attributes.
Keywords: Price transmission; Fuel prices; Horticultural markets; Developing countries; Chilele.
Resumen
Este artículo tiene como objetivo analizar cómo los precios del combustible influyen en la transmisión espacial de precios entre dos mercados mayoristas hortícolas en Chile. Implementamos un modelo de corrección de errores de vector dependiente del régimen, donde los parámetros de transmisión de precios dependen de la dinámica impuesta por una variable exógena estacionaria (precio del combustible). Identificamos dos regímenes de transmisión de precios caracterizados por diferentes relaciones de equilibrio y procesos de ajuste a corto plazo. Esto implica que los precios del combustible afectan las elasticidades de transmisión de precios y la velocidad de los ajustes entre los mercados. Nuestros resultados muestran un patrón de aumento de los costos de comercialización a medida que crece la distancia desde el origen hasta el mercado. Este impacto depende de los atributos de cada producto.
Palabras clave: Transmisión de precios; Precios de combustible; Mercados hortícolas; Países en desarrollo; Chile.
Originales: Recepción: 13/07/2020
Aceptación: 17/08/2021
Introduction
Price is the main mechanism for spatially integrating various marketing chain levels (5, 13, 18). Price transmission (PrT) refers to the process based through which markets for a homogeneous commodity at spatially separated locations share long-run information (6, 12). Price transmission has been widely analyzed in the context of the “Law of One Price,” which hypothesizes that if two markets are linked by trade and are efficient, the price differential between them is equal to the cost of carrying out trade between them. Prices are consequently thought of as being connected by a stable long-run equilibrium, with attraction forces of this equilibrium resulting in the correction of temporal deviations that occur due to supply or demand shocks. Ejrnæs and Persson (2000) identified three reasons for intermarket price transmission failure, including prohibitive transaction costs1 (TAC).
Transport costs (TPC) are the expenses a farmer incurs when it transfers its products or other assets to another location. They are the most relevant TACs in price formation for all traded agricultural products (9). As recent global food price spikes’ causes are debated, some stress fuel prices’ role on PrT along the agricultural marketing chain (MC) (3). Consumer produce demand is known to be price-sensitive, so fuel price surges could significantly affect fresh produce consumption, providing exceptional insight into their impact (22, 27).
Our method builds on the Gonzalo- Pitarakis approach (2006), incorporating a stationary threshold exogenous variable. We use fuel prices as a threshold variable (ThVar), allowing PrT elasticity and adjustment speed to differ across different trade regimes. This approach seems especially apt in irregular PrT settings where using seasonal dummy variables to account for seasonal equilibrium relationship variation might lack flexibility (20). It is also unique in explicitly incorporating an exogenous ThVar in the price adjustment, and allows us to derive conclusions on whether fuel price level implications on the horizontal PrT mechanism between the main Chilean HC wholesale markets (WM) by trade, namely: Santiago and Talca. We consider the most planted vegetables in Chile (corn, tomato, onion and carrot). We analyze with a unique continuous weekly price series for each product and market, and hypothesize that the long-run price relationship and adjustment process between both markets switches between different regimes (or display threshold cointegration behavior) depending on fuel price levels.
Spatial market integration
Fackler and Goodwin (2001) define market integration as a measure of how well demand and supply shocks of a commodity in a given market are transmitted to other markets. Many studies on market integration, both spatially and vertically, studied factors that impede price signal pass-through bet-ween markets in developing countries, where poor infrastructure, transport and communication services create large marketing margins due to high costs of delivering locally produced commodities to domestic markets for internal consumption or to the border for export (4, 16, 29). When 16 developing countries are analyzed for a mix of monthly and annual consumer, wholesale, and producer agricultural prices, Conforti (2004) finds that world-domestic PrT for Latin American is higher than for their African counterparts. The work of González-Rivera and Helfand (2001) reinforces these conclusions. They analyzed Brazilian rice market integration and found that distance and quality contribute to forming transfer costs between major local markets.
These studies examine various market interaction channels: linkages among regions, infrastructure, qualities and recently, the effect of agricultural price volatility on the agricultural value chain. They effectively show interdependence, but lack insights into the causes of exogenous-driving factors in stock market integration of specific sectors in Latin America. This paper fills in the void of the current literature by accounting for exogenous variables’ effect on the PrT process. This assumption may not always be justified because HC market chains are characterized by a fixed-proportion relationship among farm inputs, wholesale products, and final retail products, as well as an inelastic short-run supply due to perishability at the timing of growing seasons (26). As a result, the margin between wholesale and farm prices can be interpreted as the major cost of produce at the wholesale level. Consequently, production costs, and therefore gross margins, avoid interseasonal disruptions Most vegetables’ short post-harvest life also limits the ability to arbitrate prices and obtain seasonal advantages over other products. This paper also analyzes horizontal PrT processes between relevant HC WM among the most planted vegetables in Chile. To achieve this, we implement a regime depen-dent PrT model allowing a variation of the price elasticity and speed of adjustment according to the level of a stationary exogenous variable (Chilean fuel price). There is still no clear evidence on fuel prices’ effect on the spatial integration process between HC WM within developing countries. Since fresh produce undergoes minimal processing and packaging, the main component of that cost is likely to be transport fuel (9). Therefore, the role played by fuel prices offers another method to analyze TPCs’ effect on intermarket spatial integration levels.
Transport costs and horticultural prices
All commodities have fuel costs. Other food production and marketing sectors may use more energy, but transport remains extremely dependent on oil-based fuels (15). Chile is a net crude oil importer exposed to foreign markets’ volatility. Until 2013, the upward price evolution after the US sub-prime crisis and subsequent global financial crisis was due to various external events. On the other hand, from the break in early 2013, specific events such as OPEC’s agreement to lower production quotas and the rise of shale oil put greater pressure on the price until now. However, at the aggregate level Chilean prices’ behavior when compared with international prices has remained more stable. This is probably due to a fuel price stabilization system intended to reduce the volatility of the fuel prices to which the domestic market is exposed2.
Most of TAC among Chilean domestic WM is likely to be transport fuel. Accordingly, interest in fuel prices’ potential HC market impact spans various economic research areas. First, questions abound as to why retail food price volatility has increased since the recent global oil price crises, further exacerbating food price fluctuations (14). Second, with health advocates recommending increased produce consumption, researchers and policymakers are investigating the driving factors of their consumption, particularly regarding their price formation (30). Third, all commodities have fuel as a cost. Fourth, the economics of PrT on food systems among developing countries are highly sensitive to fuel variations. Therefore, it is necessary to analyze how fuel price spikes affect rural producers’ welfare level (as produce costs) (9).
Methods
We implement a three-stage empirical strategy nested with both the stationary (fuel prices) and non-stationary (market prices) character of the time series. After determining the integration order of the series, we assess the linear cointegration relationships through the Johansen et al. (2000) trace test, followed by applying the Gonzalo-Pitarakis (2006) approach, who proposed that long-run equilibrium relationships between two markets may change according to the level of a stationary variable imposed exogeneously. Here, we test the linear cointegration null against the threshold cointegration between MR and 7R WM. In this approach, the null hypothesis of linear cointegration is:
(1)
against the alternative hypothesis of cointegration with threshold effects:
(2)
where:
yt = Talca prices,
xt = Santiago prices
ut and vt = scalar and p-vector valued stationary disturbance terms respectively,
qt−d with d≥1 = a stationary ThVar lagged by d periods,
I(qt−d >γ) = an indicator function that equals one if qt−d >γ , and zero otherwise.
Gonzalo & Pitarakis (2006) propose a supLM test based on the following statistic:
(3)
where:
M = I − X(X’ X)−1 X’,
X stacks all values of xt in the linear model [1],
Xγ stacks the values of xt corresponding to the criterion qt > γ in the non-linear model [2].
T = the length of the full sample,
u = the residual,
σ02 = the residual variance of the linear model [1].
The LM test statistic LM T (γ) is calculated for all possible values of the ThVar qt. The supLM test statistic is given by:
(4)
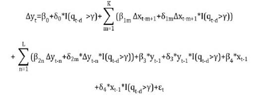
Critical values for this test statistic are taken from Andrews (1993). Similarly to Götz and von Cramon-Taubadel (2008), we estimate an unrestricted, regime-specific ECM by including dummy variables defined by the indicator function I(qt−d >γ) corresponding to the threshold determined by the supLM test. This ECM takes the form:
(5)
Data description
According to the Chilean government’s Agricultural Research and Policies Office (hereafter ODEPA) wholesalemarkets concentrate 79% of Chilean domestic HC product trade. Among them, the Central de Abastecimiento Lo Valledor located in Santiago (Metropolitan region), hereafter MR, and the Parque Mayorista located in Talca (7th region), hereafter 7R, account for 61% of domestic annual traded volume. In particular, the marketing system through the Central de Abastecimiento Lo Valledor concentrates a majority percentage of the country’s total horticultural marketing. This market has an area of 29 hectares, with 1,500 commercial premises and yards to receive 2,600 truckloads of products. It is visited daily by 30,000 people and 5,000 buyer vehicles. Transactions are characterized by being direct between the seller and the buyer, most of whom are small and medium-sized farmers and traders, with intermediaries and distributors from regional centers joining this group, which makes it possible to obtain benefits in determining final prices for consumers (Figure 1).
Figure 1 A-D: Prices of the WM of MR and 7R (in USD per kg) over 2009-2015.
Figura 1 A-D: Precios de mercado mayorista para RM 7R (en USD por kg) durante 2009-2015.
Given their relevance, we consider the weekly wholesale prices (in USD/Kg) from 1-2011 to 12-2015 in MR and 7R. We consider the four most planted vegetables in Chile, accounting for 38% of total cultivated vegetable surface in Chile, 28% of total domestic trade (in value) and 18% of total producer units (23) (Figure 2).
Figures 2 A-D: A) Corn (MR/7R); B) Tomato (MR/7R); C) Onion (MR/7R); D) Carrot (MR/7R).
Figuras 2 A-D: A) Maíz (RM/7R); B) Tomate (RM/7R); C) Cebolla (RM/7R); D) Zanahoria (RM/7R).
For fuel prices (hereafter CHF), we use Chilean real prices. The data was obtained from ODEPA, the Chilean Statistical Office, the Chilean Institute for Agricultural Development and the National Petroleum Company of Chile. These series are expressed in USD (for vegetables) and USD/Liter (for Chilean fuel retail prices).
Initially, price developments show typical seasonal variation and price differences. This behavior of irregular seasonal PrT is typical for vegetable markets (20). Most price developments between MR and 7R follow similar patterns over time. Those patterns suggest the 7R market follows MR market price developments. This implies that MR prices could partially determine 7R prices. The Gonzalo-Pitarakis (2006) approach can capture price series non-linearities due to seasonal reversals in trade flow direction and non-constant TACs. Practically, TACs and trade flow reversals can modify arbitrage conditions and the nature of PrT and intermarket integration. Therefore, the observed reversal in trade flow due to seasonal supply source changes implies a variation in inter-market transportation costs (TACs’ main component), suggesting the likelihood of the presence of threshold effects in price dynamics in the Chilean vegetable marketing system.
Results
Time series properties of data
MR and 7R wholesale prices for corn, tomato, onion and carrot, as well as CHF were tested for unit roots. The fuel price variable proved to be stationary at least with 10% level of significance (ADF statistics -0.48 and KPSS statistics 0.34) and 5% level of significance (PP statistics -1.99). Table 1 reports the descriptive statistics and unit root tests results for the price series.
Table 1: Description of covariates considered in this study.
Tabla 1: Descripción de las covariables consideradas en este estudio.

Since MR and 7R prices are non-stationary, cointegration techniques can be used to model these long-run inter-market relationships. The Johansen et al. (2000) trace test was applied, suggesting the presence of cointegration across the sample. The null hypothesis of a single cointegration vector cannot be rejected when bi-variate price pairs are considered. Accordingly, we conclude that MR and 7R markets are linked by one cointegrating vector at 5% level of significance, thus determining an equilibrium relationship between them.
Next, we test fuel prices’ role in horizontal spatial PrT between MR and 7R markets. We use the Gonzalo-Pitarakis (2006) method for each vegetable price between MR and 7R markets, where 7R price = f (MR price). It seems plausible that long-run price relationships between MR and 7R display different patterns depending on CHF. Estimated sup LM-test statistic (equation 6) and the threshold values (ThVal) are presented in Figures 2 A-D.
Generally, we confirm fuel prices’ role in horizontal PrT between key Chilean HC WM. All regime dependent VEC models appear in Table 2.
Table 2: Estimates for regime dependent VEC models following Gonzalo & Pitarakis method (2006).
Tabla 2: Estimaciones para modelos VEC dependientes del régimen siguiendo el método de Gonzalo y Pitarakis (2006).

Discussion
A three stage method was applied to assess fuel prices’ role in the wholesale price relationship bet-ween the MR and 7R HC markets. The cointegration test showed a strong long-run relationship between them. PrT analysis coefficients (α and β) suggest that, apart from onion, the price relation-ship is one-way (7R price only error corrects while MR dominates price). Also, the speed of adjustment coefficients are significant for all variables, thus reinforcing the hyphotesis of a causality pattern from the Santiago market (Central) to Talca market (Regional). These findings support the idea that regardless of the quantity produced in Talca, the major effect of price adjustment is a result of the high demand and market concentration of the Central wholesale market rather than the favourable productive conditions in Talca. These results mirror many empirical studies, which highlight market power’s role on PrT among agricultural markets (1, 25). One major implication is that asymmetric central market price hikes that would cut marketing margins are passed to regional markets faster than producer price decreases that widen marketing margins. The results emphasize the presence of feedback between different markets, and support the imperfect PrT between central and regional markets.
For most price pairs, the Gonzalo-Pitarakis (2006) exogenous threshold driven cointegration confirmed non-linear results, displayed in two trade-share dependent long-run price elasticity relationships, and we asume that the differences between each regime mainly depend on the product traded and the fuel prices. Accordingly, we can confirm the important role played by Chilean fuel prices in horizontal PrT between the MR and 7R markets. We depart from the idea that differences between each regime mainly depend on each product’s attributes and trade volume. One practical implication is that fuel prices affect wholesale prices through TPC, and there is a pattern of increasing marketing costs as farm to market distance grows. This acceptance follows previous studies on market integration within fresh produce (20).
When each product is analyzed, we found that corn presents its maximum LMγ statistics with a (ThVal) of 17.834. The first regime has 150 observations and is active with CHF <1.18 USD/liter. It shows a price transmission elasticity (β) of 0.473 and speed of adjustment (α) of -0.091. This regime could characterize the fall harvest season when ±55% of corn offered in the MR comes from 7R. The second, larger regime pools 24 observations and is active with CHF>1.18 USD/l. This regime probably considers the origin from other regions further south than 7R. When compared with other vegetables, the effect of the ThVar is the highest among all variables, that is, lower fuel prices mostly affect the margin in which the trade between markets is profitable. It confirms our suspicion that the reaction on arbitrage for yearly crops 3 (products with low producer prices) is more elastic than cash crops 4 (characterized by higher price segmentation). These findings fit with other works (11, 26).
Tomatoes have a very stable supply in Chilean markets, representing 70% of all greenhouse production in Chile and complement outdoor production whenever it cannot supply the market (23). Despite its high sensitivity to winter frost, fresh tomato is present in the Chilean market throughout the year (28). The wide range of growing conditions offered nationwide allows its cultivation across most of the country. Currently, during the April-September period, the regions supply most tomatoes offered in MR markets. These attributes are expressed in the regime structure observed in this work. The larger regime has 101 observations, with β=0.218 and α=-0.200. In this regime, the maximum LMγ statistics correspond to a ThVal of 17.877 and is active with CHF<0.96 USD/l.
On the contrary, the second regime pools 73 observations, with CHF>0.93 USD/l, β=0.089 and α=-0.377. The aforementioned probably reflects October prices, representative of early spring production, that show the greatest variation and a downward trend. This is due to the increase in the area under greenhouses and the higher production in the north of the country, which supplies, in addition to the markets of the Metropolitan Region, the south of the country. Thus, tomato trucks arrive directly to these wholesale markets from the north of Chile.
Onions are the second vegetable in acreage and production value in Chile. Since 2010, ±10,000 Ha/year has been planted, with ±40% for early and mid-season onions and 60% dedicated to “storing” onions (24). Previous evidence suggests that storing capacity could restrict PrT magnitude due to a smoothing effect of arbitrage on the price formation process (1).
Onions present the second largest differences in the number of observations between the larger regime (117 observations) and smaller regime (57 observations). This product presents the highest value of threshold exogenous variable with a fuel price of 1.08 USD. The maximum LMγ statistics correspond to a ThVal of 6.858. The first regime contains 117 observations, and is active at CHF<1.01 USD, with β=0.010 and α=-0.065. The second regime pools 57 observations, at CHF>1.01 USD/l, with β=0.122 and α=-0.029. The characterization of the larger regime corresponds to market conditions when stored onions are supplied to WM. During this regime the price relationship is unidirectional with the MR price, not error correcting, and thus dominating the 7R price. Consequently, the initial price level for the new harvest is set in the MR and transmitted to regional markets allowing relatively high price differences that give margin to profitable arbitrage opportunities. Accordingly, during this period, the effect of CHF on wholesale margins and consumer prices is expected to be lower than other vegetables considered here.
70% of carrots are cultivated in the central region, which has two planting seasons (March-May and October-November). Their post-harvest life is very short (3 weeks on average). The maximum LMγstatistics corresponds to a ThVal of 50.511. The larger regime cointains 173 observations, and is activated at CHF>0.56 USD/liter. It shows β=0.149 and α=0.376. The shorter regime is active at CHF<0.56 USD/liter, however it pools only 1 observation with β=0.473 and α=-0.016. Two practical implications can be derived from the important difference in observation numbers. First, CHF could not act as an efficient trimming parameter in a threshold cointegration model (independent of the effect this variable has on PrT parameters) and, second, the arbitrage advantages from seasonality effects are more difficult to obtain. With this in mind, another vein for discussion can be developed. It focuses on the price differences mean, which is the mean of price changes over the pairs and regimes. These statistics equal 0.046 in the first regime, but 0.631 in the larger regime, further suggesting higher volatility of traded quantities during harvest season. This situation has two consequences: a) a more sensitive response of wholesale prices to CHF increases (expressed in the largest mean of price difference between both regimes), and b) relatively low profitability level relative to other species.
Overall, we confirm that the effect of fuel price increases on wholesale prices varies by product attributes. For vegetables with multiple growing sources and weak seasonality, fuel price effects are significant but vary across geographic markets and seasons. For vegetables with clear growing seasons, fuel price effects are more constant, with a discernible relationship between price increases, seasona-lity and perishability.
Our discussion to this point has focused on comparing PrT parameters and CHF changes across origins and markets. We assume that these parameters provide a measure to compare how product attributes affect intermarket trade flows. Examining the seasonal nature across products and regions, we can summarize different agribusiness implications into the importance of CHF in fresh produce prices:
-Price differences across products help clarify how much the impact of CHF varies. They suggest that TPC may help mitigate wholesale price volatility across products and possibly within WM across time. As the fuel share of wholesale prices increases, volatility potential deriving from alternative supply-side sources decreases.
-Both sensitivity to fuel prices and the margins themselves increase with distance. Thus, an important portion of the wholesale margin could be related to fuel costs for transport.
-Fuel price volatility can lead to substantial geographic variation in wholesale market produce prices.
-Fuel prices affect wholesale prices through TPC and there is a pattern of increasing marketing costs as farm to market distance grows. These findings corroborate previous work conducted on fuel and energy impacts on food prices (7).
Conclusions and limitations
In this paper, different methodological approaches were applied for an in-depth assessment of the role played by fuel prices on the wholesale price relationship between two major Chilean horticultural markets. We consider the most planted vegetables in Chile. To analyze, we use a unique continuous weekly price series for each product and market.
The goal was to identify the role played by CHF in HC price market integration by including an exogenous ThVar.
For most products, we found evidence for CHF’s role in horizontal PrT between MR and 7R markets. This situation supports the idea that regardless of quantities traded in regional markets, the major effect of price adjustment is a result of the high demand and market concentration of a central market. Also, we confirm that fuel prices affect wholesale prices through TPC and that there is a pattern of increasing marketing costs as the distance from origin to market grows. Another type of threshold VECM could be considered to investigate short-run dynamics and to allow for asymmetric adjustments in response to positive and negative price shocks, especially endogeneity’s effect of handling costs on prce transmission parameters, since commodity flows between markets are often unidirectional. Thus, transportation infrastructure and handling facilities may be better suited for one-way commodity flows. Thresholds may be asymmetric as transports cost more in one direction than the other.
Acknowledgements
Funding for this research comes from CONICYT CHILE - FONDECYT Iniciación en Investigación - Folio No. 11180364.
1. Alam, M.; McKenzie, A.; Buysse, J.; Begum, I.; Wailes, E.; Van Huylenbroeck, G. 2012. Measuring market integration in the presence of threshold effect: The case of Bangladesh rice markets. Selected paper prepared for presentation at the Agricultural and Applied Economics Association (AAEA) Conference.
2. Andrews, D. W. 1993. Tests for parameter instability and structural change with unknown change point. Econometrica: Journal of the Econometric Society, 61(4): 821-856.
3. Baffes, J.; Dennis, A. 2013. Long-term drivers of food prices. Policy Research Working Paper. doi: 10.1596/1813-9450-6455
4. Barrett, C. 2001. Measuring integration and efficiency in international agricultural markets. Review of Agricultural Economics. 23(1): 19-32. doi: 10.1111/1058-7195.00043
5. Bekkers, E.; Brockmeier, M.; Francois, J.; Yang, F. 2017. Local food prices and international price transmission. World Development, 96: 216-230.
6. Birge, J. R.; Chan, T.; Pavlin, M.; Zhu, I. Y. 2020. Spatial price integration in commodity markets with capacitated transportation networks. SSRN Electron J. https://doi.org/10.2139/ ssrn.3544530
7. Canning, P. 2011. A revised and expanded food dollar series: A better understanding of our food costs. Economic Research Report 114, U.S. Department of Agriculture, Economic Research Service. doi: 10.22004/ag.econ.262243
8. Conforti, P. 2004. Price transmission in selected agricultural markets. FAO Commodity and trade policy research working paper.
9. Dillon, B.; Barrett, C. 2013. Global crude to local food: An empirical study of global oil price passthrough to corn prices in East Africa. External report, International Conference on Food Price Volatility: Causes and Challenges.
10. Ejrnaes, M.; Persson, K. G. 2000. Market integration and transport costs in France 1825-1903: a threshold error correction approach to the law of one price. Explorations in economic history. 37(2): 149-173.
11. Eryigit, K. Y.; Karaman, S. 2011. Testing for spatial market integration and law of one price in Turkish wheat markets, Quality and Quantity. 45(6): 1519-1530. doi: 0.1007/s11135-010-9320-1
12. Fackler P.; Goodwin, B. 2001. Spatial price analysis. Handbook of agricultural economics, 1(B): 971-1024. doi: 10.1016/S1574-0072(01)10025-3
13. Giacinti, M. A.; Valenciano, J. de P.; Pires Manso, J. R. 2020. Determination of the price in the fresh fruit market: case of pears. Revista de la Facultad de Ciencias Agrarias. Universidad Nacional de Cuyo. Mendoza. Argentina. 52(1): 225-232.
14. Gilbert, C. 2010. How to understand high food prices. Journal of Agricultural Economics. 61(2): 398-425. doi: 10.1111/j.1477-9552.2010.00248.x
15. Goetz, S.; Canning, P.; Perez, A. 2018. Optimal locations of fresh produce aggregation facilities in the United States with scale economies. International Journal of Production Economics, 197;143-157.
16. Gómez-Luciano, C. A.; De Koning, W.; Vriesekoop, F.; Urbano, B. 2019. A model of agricultural sustainable added value chain: The case of the Dominican Republic value chain. Revista de la Facultad de Ciencias Agrarias. Universidad Nacional de Cuyo. Mendoza. Argentina. 51(1): 111-124.
17. Gonzalez-Rivera, G.; Helfand, S. M. 2001. The extent, pattern, and degree of market integration: A multivariate approach for the Brazilian rice market. American Journal of Agricultural Economics. 83(3): 576-592.
18. González-Yebra, Ó.; Aguilar, M. A.; Aguilar, F. J. 2019. A first approach to the Design Component in the agri-food industry of southern Spain. Revista de la Facultad de Ciencias Agrarias . Universidad Nacional de Cuyo. Mendoza. Argentina. 51(1): 125-146.
19. Gonzalo, J.; Pitarakis, J. 2006. Threshold effects in cointegrating relationships. Oxford Bulletin of Economics and Statistics. 68: 813-833. doi: 10.1111/j.1468-0084.2006.00458.x
20. Götz, L. & von Cramon-Taubadel, S. 2008. Considering threshold effects in the long-run equilibrium in a vector error correction model: An application to the German apple market. Contributed paper, 12th Congress of the European Association of Agricultural Economists.
21. Johansen, S.; Mosconi, R.; Nielsen, B. 2000. Cointegration analysis in the presence of structural breaks in the deterministic trend. Econometrics Journal, 3(2):216-249.doi:10.1111/1368- 423X.00047
22. Mora, M.; Schnettler, B.; Lobos, G.; Geldes, C.; Boza, S.; Lapo, M. del C.; Paz, R. 2020. Olive oil and the millennial generation in Chile. What do these consumers consider when buying this product?. Revista de la Facultad de Ciencias Agrarias . Universidad Nacional de Cuyo. Mendoza. Argentina. 52(1): 233-245.
23. ODEPA. 2015. Boletín Técnico Productivo. https://www.odepa.gob.cl/
24. ODEPA. 2016. Informe de comercialización intrarregional. https://www.odepa.gob.cl/precios
25. Pede, V. O.; Mckenzie, A. M. 2005. Integration in Benin corn market: An application of threshold cointegration analysis. Selected paper presented American Agricultural Economics Association Meeting. Rhode Island.
26. Pingali, P.; Khwaja, Y.; Meijer, M. 2005. Commercializing small farms: reducing transaction costs. ESA Working Paper. 05-08. Agricultural and Development Economics Division, FAO. http://www.fao.org/3/a-af144t.pdf
27. Raper, K.; Thornsbury, S.; Aguilar, C. 2009. Regional wholesale price relationships in the presence of counter-seasonal imports. Journal of Agricultural and Applied Economics. 41(1): 271- 90. doi: 10.1017/S1074070800002686
28.Ruíz-Machuca, L. M.; Ibarra-Jiménez, L.; Valdez-Aguilar, L. A.; Robledo-Torres, V.; Benavides-Mendoza, A.; Cabrera-De La Fuente, M. 2015. Cultivation of potato-use of plastic mulchandrow covers on soil temperature, growth, nutrient status, and yield. Acta Agriculturae Scandinavica, Section B-Soil and Plant Science. 65(1): 30-35. doi: 10.1080/09064710.2014.960888
29. Silva Laya, S. J.; Pérez Martínez, S.; Álvarez del Castillo, J. 2019. Socioecological diagnosis and peri-urban family agriculture typification, with emphasis in the production of peach (Prunus persica), in El Jarillo, Venezuela. Revista de la Facultad de Ciencias Agrarias . Universidad Nacional de Cuyo. Mendoza. Argentina. 51(1): 351-368.
30. Wohlgenant, M. 2001. Chapter 16. Marketing margins: Empirical analysis. Handbook of Agricultural Economics. 1(B): 933-970. doi: 10.1016/S1574-0072(01)10024-1
1 TAC raises the price effectively paid by buyers and lower the price effectively received by sellers of a good, creating a “price band” within which some households find it unprofitable to either sell or buy. TAC includes per-unit costs of accessing markets associated with transportation and imperfect information.
2 More information regarding this policy can be obtained from http://www.minenergia.cl/archivosbajar/Documentos/Agenda_Energetica/Agenda_de_Energia- Documento_Completo_ Ingles.pdf
3 Yearly crops: Plant that perform their entire life cycle from seed to flower to seed within a single growing season.
4 Cash crops: plant cultivated to be sold to gain profit from the sale.