Revista de la Facultad de Ciencias Agrarias. Universidad Nacional de Cuyo. Tomo 53(2). ISSN (en línea) 1853-8665. Año 2021.
Original article
Mixed modeling for fiber yield genetic selection in sugarcane (Saccharum officinarum)
Selección genética de genotipos de caña de azúcar (Saccharum officinarum) hacia rendimiento de fibra mediante modelos mixtos
João de Andrade Dutra Filho 1*
Lauter Silva Souto 4
Rômulo Gil de Luna 4
Anielson dos Santos Souza 4
Frank Gomes-Silva 5
Fabiana Aparecida Cavalcante Silva 6
Djalma Euzébio Simões Neto 3
Tercilio Calsa Júnior 2
1 Federal University of Pernambuco. Vitoria Academic Center/ Biological Science Nucleus. Rua Alto do Reservatório. S/n Bela Vista. CEP: 55608-680. Vitória de Santo Antão. Pernambuco. Brazil.
2 Federal University of Pernambuco. Department of Genetics. Avenida Professor Moraes Rego. 1235. Cidade Universitária. CEP: 50670-901. Recife. Pernambuco. Brazil.
3 Federal Rural University of Pernambuco. Carpina Sugarcane Experimental Station, Rua Ângela Cristina Canto Pessoa de Luna. S/n. Centro. CEP: 55810-700. Carpina. Pernambuco. Brazil.
4 Federal University of Campina Grande. Agri-Food Science and Technology Center. Rua Jairo Vieira Feitosa. 1770. Pereiros. CEP: 58840-000. Pombal. Paraiba. Brazil.
5 Federal Rural University of Pernambuco. Department of Statistics and Informatics. Rua Dom Manuel de Medeiros. s/n Dois Irmãos. CEP: 52171-900. Recife. Pernambuco. Brazil.
6 Phytosanitary Diagnosis Laboratory. Northeast Strategic Technologies Center. Avenida Professor Luís Freire. Cidade Universitária. Recife 50740-545. Pernambuco. Brazil.
Abstract
The current demand for clean and renewable energy has provoked considerable changes in the production system of agro-industrial companies. Bioelectricity generation through sugarcane bagasse burning has considerably risen in recent years. This work aimed to focus on sugarcane genetic selection for fiber productivity, using mixed linear modeling. The experiment was outlined in randomized blocks with four repetitions and sixteen genotypes. The evaluated traits were: cane tons per hectare, sucrose tons per hectare, fiber tons per hectare, fiber content and apparent sucrose content. Heritability coefficients suggested a significant genetic gain, while harmonic means of relative performance of predicted genotypic values allowed the identification of stable genotypes related to the traits evaluated, in four harvest cycles. The current agro-industrial demand for sugarcane varieties considers energy generation and sugar production with fiber content between 12% and 17%, and sucrose content near 13%. With this regard, genotypes EECAC 06, EECAC 03, EECAC 04 and EECAC 07 result interesting commercial cultivation options.
Keywords: Biomass; Bioenergy; Bioelectricity; Saccharum spp.; REML/BLUP.
Resumen
La demanda actual de energías limpias y renovables ha provocado cambios considerables en el sistema productivo de las empresas agroindustriales. La generación de bioelectricidad mediante la quema de bagazo de caña de azúcar ha aumentado considerablemente en los últimos años. Este trabajo tuvo como objetivo centrarse en la selección de genotipos de caña de azúcar para la productividad de la fibra. El experimento se esbozó en bloques aleatorios con cuatro repeticiones y se evaluaron dieciséis genotipos. Las caracteristicas evaluadas fueron: toneladas de caña por hectárea, toneladas de sacarosa por hectárea, toneladas de fibra por hectárea, contenido de fibra y contenido aparente de sacarosa. Para la selección se utilizó la metodología de modelos lineales mixtos. Los coeficientes de heredabilidad sugieren una ganancia genética significativa y las medias armónicas de desempeños relativos de los valores genotípicos predichos permitieron la identificación de genotipos estables relacionados con las características evaluadas en cuatro ciclos de cosecha. Considerando la demanda actual de la agroindustria de la caña de azúcar por variedades con contenido de fibra entre 12% y 17% y contenido de sacarosa cercano al 13%, para generación de energía y producción de azúcar, los genotipos EECAC 06, EECAC 03, EECAC 04 y EECAC 07 se presentan como comerciales opciones de cultivo.
Palabras clave: Biomassa; Bioenergía; Bioelectricidad; Saccharum spp.; REML / BLUP.
Originales: Recepción: 11/09/2020
Aceptación: 03/06/2021
Introduction
Sugarcane is an economically significant crop for various agro-industrial products like sugarcane distilled beverage cachaça, yeast, protein, pharmaceuticals, fodder for animal feed (1, 8, 20), and Brazilian main commercial products, sugar and ethanol, historically providing the greatest economic profitability (3).
The current worldwide higher demand for clean and renewable energy, coupled with growing concern about environmental issues, such as the greenhouse effect and water conservation, require considerable changes in the productive systems of small and large companies (2). Sugarcane biomass is one main alternative for diversifying the energetic matrix and reducing fossil fuels usage, especially in tropical and subtropical countries (10, 24). Nowadays, sugarcane bagasse is used for power generation. This makes sugar mills self-sustainable in electric power, and even able to supply the surplus electricity to surrounding power distribution companies (16). Stimulated by the Brazilian federal governmental RenovaBio program, and a favorable business environment, bioelectricity can potentially grow more than 50% by 2027 (16). This growing demand for biomass and bioenergy, directly dependent on bioelectricity and second-generation ethanol production, ultimately results from fiber content and composition of sugarcane varieties. This has inspired new breeding programs focusing on new varieties with higher fiber content (4, 23).
In this context, some studies have already selected families in phase T1, with no evaluation during ratoons (6, 19, 20, 23). However, in technical and practical terms, evaluating fiber productivity is key not only in plant cane, but mainly along ratoons, identifying the most stable clones and proceeding with commercial recommendations. In the state of Pernambuco, one traditional sugarcane producer in Brazil, no studies have approached this topic.
According to Tew and Cobil (2008), the currently cultivated varieties are constituted by about 12% fibers, 13% sugars and 75% water. These authors also state that genetic breeding could possibly develop new materials with up to 30% fiber, 5% sugar and 65% water. However, according to Fernandes Júnior et al. (2017), sugar mills are not yet ready to process biomass with more than 20% fiber, but newly developed varieties with around 17% fiber, and sucrose near 13%, would attend what the current sugar-energy infrastructure offers. These authors also state that this type of fiber-cane variety would also increase electricity production capacity, due to the higher fiber percentage. Consequently, bagasse heat/ calorific power quality would also increase, without losses in sugar production. In view of the aforementioned needs, this work aimed to select sugarcane genotypes for potential fiber productivity, using mixed linear models.
Material and methods
Experimental design
Sixteen genotypes were evaluated: ten promising clones from the sugarcane genetic breeding Program of the Federal Rural University of Pernambuco, affiliated to the Interuniversity Network for the Development of the Sugar and Energy Sector (PMGCA/UFRPE/ RIDESA), and six standard commercial varieties (Table 1).
Table 1: Sugarcane genotypes evaluated for fiber productivity.
Tabla 1: Genotipos de caña de azúcar evaluados para la productividad de la fibra.

* Standard varieties.
* Variedades estándar.
The experiments were conducted in the agricultural area of Pumaty sugar mill, in the municipality of Joaquim Nabuco, in the state of Pernambuco, Brazil, at geographic coordinates 08°37’28”S and 35°32’00”W. A four-repeat randomized block design was used. The experimental plots were composed of five lines, with 8 m between lines, each plot having 40 m2.
During four harvest seasons (plant crop and 1st, 2nd and 3rd ratoon crops), the following traits were evaluated: sugarcane tons per hectare (STH), sucrose tons per hectare (SucTH), fiber tons per hectare (FTH), fiber percentage (FP) and apparent sucrose percentage (SP).
Sugarcane tons per hectare (STH), sucrose tons per hectare (SucTH) and fiber tons per hectare (FTH) were obtained as:
STH = (Total weight experimental plots x 10) / plots area in m2;
SucTH = (STH x SP) / 100;
FTH = (STH x FP) / 100.
Fiber and apparent sucrose percentage were estimated in the laboratory according to Fernandes (4).
Statistical Analyses
Mixed models (REML/BLUP) estimated variance components and predicted genetic values, according to Resende (2007). Interactions between genotypes x harvest cycles (measurements) were evaluated via REML/BLUP and the statistical model 55 of the Selegen-REML/BLUP software (15), corresponding to:
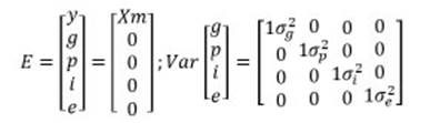
y = Xm + Zg + Wp + Ti + e
where:
y = the data vector,
m = effect vector of harvest cycles-repetitions (fixed) combinations added to general mean,
g = genotypic effects vector (aleatory),
p = permanent environmental effect vector (plots, aleatory),
i = vector for genotypes x harvest cycles interaction,
e = error vector or residues (aleatory).
Capital letters represent incidence matrices for the cited effects. The m vector comprises all harvest cycles in all repetitions and adjusts simultaneously to repetitions effects, harvest cycles and harvest cycles interaction x repetitions.
Mean (E) and variance (Var) distributions and structures were:

Through this model, variance components and genetic parameters were obtained. while genetic predictors (REML/BLUP) were free of genotypes x harvest cycles interaction, according to Resende (15).
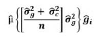
Prediction of
genotypic values gathering average interaction (gem) in the different Harvest
cycles, is given by model: ![]()
Calculated by the equation:

where:
μ = the overall average of all Harvest cycles;
= the genotypic
variance;
= the variance
of genotype x harvest cycles interaction;
n = the number of harvest cycles; and
= the specific
genotypic effect (genotype i).
Aiming to verify fiber and apparent sucrose content productivity and genotypic stability through harvest cycles, the harmonic means of relative performances of predicted genotypic values (HMRPPGV), were provided by:
![]()
where:
n = harvest cycle number, where genotype i was evaluated
Vgij = the genotypic value of genotype i, in the harvest cycle j, expressed as mean proportion of each cycle.
The HMRPPGV values were multiplied by a general mean calculated for all environments (GM), resulting in the same magnitude order in which all traits were evaluated, with genetic values already discounted from instability, and capitalized by adaptability.
Genetic-statistical analyses were performed with Selegen software (15).
Results and discussion
Results regarding sugarcane tons per hectare, sucrose tons per hectare, fiber tons per hectare, fiber percentage and apparent sucrose percentage are shown in Table 2.
Table 2: General mean, genetic traits, estimated variance components of sugarcane tons per hectare (STH), sucrose tons per hectare (SucTH), fiber tons per hectare (FTH), fiber percentage (FP) and apparent sucrose percentage (SP), evaluated in the agricultural area of Pumaty sugar mill, considering four harvest cycles.
Tabla 2: Media general, caracteres genéticos, componentes de varianza estimados de toneladas de caña de azúcar por hectárea (STH), toneladas de sacarosa por hectárea (SucTH), toneladas de fibra por hectárea (FTH), porcentaje de fibra (FP) y porcentaje de sacarosa aparente (SP), evaluados en el área agrícola del ingenio Pumaty, considerando cuatro ciclos de cosecha.

*,
**Significant at 5 and 1%, respectively, according to deviance analysis. GV:
Genotypic variance. EPV:Environmental variance. GEV:
Harvest cycles x genotype interaction. EV: Temporary residual
variance. FV: Phenotypic individual variance. h2g: Plots
individual Heritability. r: repeatability. R2E:
Environmental determination coefficient. R2GE:
Determination coefficient for genotype x harvest cycle interaction effects.
rgmed: Genotypic correlation through harvest cycle. h2mg: mean
genotype heritability.
*, **
Significativo al 5 y 1%, respectivamente, de acuerdo con la análisis de
deviación. GV: Varianza genotípica. EPV:
Varianza ambiental permanente. GEV: Interacción genotipos x ciclos
de cosecha. EV: Varianza temporal residual. FV: Varianza
fenotípica individual. h2g: Heredabilidad de parcelas individual. r:
repetibilidad. R2E: Coeficiente de determinación
ambiental permanente. R2GE: Coeficiente de determinación
de los efectos de interación genotipos x ciclos de cosecha. rgmed: Correlación
genotípica a través del ciclo de cosecha.. h2mg:
heredabilidad media de los genotipos.
Deviance analysis revealed significant differences between genotypes for productivity traits, evaluated during four harvest cycles. These results indicate genetic variability between genotypes concerning the evaluated traits, implying the possibility of selecting superior genotypes, as previously found (14, 26).
High values of genotypic variance for permanent environmental variance were found for STH, SucTH and FTH. In relation to SP, the genotypic variance was higher than the permanent environmental variance and the genotype x harvest cycles interaction variance, suggesting that these traits have genetic over environmental predominance.
Medium and high genotypic correlations throughout harvest cycles suggest genotypic identification, whose phenotypic expression (SucTH and SP), was stable during harvest cycles with a greater predominant genetic component. Regarding SP, it might be inferred that the genotypes have a high potential for ratoon sucrose production. For Silva et al. (2018), it is about regularity in the repetition of this important production component. For Oliveira et al. (2017), a complex part of the genotype x environment (harvest cycles) interaction causes traits such as STH and TFH to show a low genotypic correlation between harvest cycles.
Individual plots of heritability and repeatability coefficients showed average magnitude. Furthermore, determination coefficients of genotypes x harvest cycles interaction showed greater participation of this interaction in phenotypic variance genotypes.
A viable alternative for minimizing environmental effects would be to adopt a selection practice based on genotypes mean, given that environmental effects (harvest cycles) tend to cancel (11). Complementarily, Zeni Neto et al. (2008), said that considering an analysis of adaptability and stability would be important to identify stable genotypes.
As the mixed linear models methodology allows selection based on predicted genotypic values (9, 13), selection of the evaluated material could be based on the genotypic means of all harvest cycles. Such a procedure would provide greater selective accuracy, confirmed by the estimated genotype mean heritability for STH, SucTH and SP, which presented average magnitudes. For Garcia and Nogueira (2005), genotype mean heritability above 0.46 show higher selection potential. According to Rodrigues et al. (2011), it indicates phenotypic value reliability, as indicator for genetic value.
Observing the predicted genetic values (u+g+gem), the genotypes VAT90-212, SP81- 3250, EECAC 04, EECAC 03 and SP79-1011 showed the highest values in harvest cycles and the highest genetic gains for STH (Table 3).
Table 3: Estimated genetic gain on sugarcane tons per hectare (STH), sucrose tons per hectare (SucTH), fiber tons per hectare (FTH), fiber percentage (FP) and apparent sucrose percentage (SP) of top five sugarcane genotypes, as evaluated during the experiment conducted in the agricultural area of Pumaty sugar mill, considering four harvest cycles.
Tabla 3: Estimación de ganancia genética de los caracteres toneladas de caña de azúcar por hectárea (STH), toneladas de sacarosa por hectárea (SucTH), toneladas de fibra por hectárea (FTH), porcentaje de fibra (FP) y porcentaje de sacarosa aparente (SP), de los cinco mejores genotipos evaluados en el experimento realizado en el área agrícola del ingenio Pumaty, considerando cuatro ciclos de cosecha.
Mean components (individual BLUP). G: Genotypic effect.
Predicted
genotypic values free from environmental interaction (Harvest cycles).
: Average
genotypic value in the harvest cycles. This parameter capitalizes on an average
interaction with all the harvest cycles evaluated.
Componentes medios (BLUP individual). G: efecto genotípico. ![]()
Valores
genotípicos previstos libres de interacción ambiental (ciclos de cosecha).
: Valor
genotípico medio en los ciclos de cosecha. Este parámetro capitaliza una
interacción promedio con todos los ciclos de cosecha evaluados.
Regarding FTH, the following genotypes stood out: SP81-3250, SP79-1011, EECAC 03, VAT90-212 and EECAC 08. For FIB, SP79-1011 EECAC 06, SP81-3250, EECAC 09 and RB813804 showed a tendency, however not significant, something normally expected given low heritability. Finally, regarding PC f, the genotypes EECAC 07, EECAC 04, EECAC 06, RB813804 and EECAC 03 were the most important.
The relative performance of predicted genotypic values (HMRPPGV) on sixteen sugarcane genotypes for sugarcane tons per hectare (STH), sucrose tons per hectare (SucTH), fiber tons per hectare (FTH), fiber percentage (FP) and apparent sucrose percentage (SP) are presented in Table 4.
Table 4: Harmonic means of relative performance of predicted genotypic values (HMRPPGV and HMRPPGV*GM) for sixteen sugarcane genotypes. Traits: sugarcane tons per hectare (STH), sucrose tons per hectare (SucTH), fiber tons per hectare (FTH), fiber percentage (FP) and apparent sucrose percentage (SP) in experiments conducted in the agricultural area of Pumaty sugar mill, considering four harvest cycles.
Tabla 4: Medias armónicas de actuaciones relativas de valores genotípicos predichos (HMRPPGV and HMRPPGV*GM) de dieciséis genotipos de caña de azúcar de los caracteres toneladas de caña de azúcar por hectárea (STH), toneladas de sacarosa por hectárea (SucTH), toneladas de fibra por hectárea (FTH), porcentaje de fibra (FP) y porcentaje de sacarosa aparente (SP), evaluados en el experimento realizado en el área agrícola del ingenio Pumaty, considerando cuatro ciclos de cosecha.

A. HMRPPGV / PADRVG
B. HMPRVG*GM / PADRVG*MA
The highest genotypic (HMRPPGV) selection (Table 4), implied, simultaneously, adaptability, stability and productivity (18).
The highest harmonic means for STH were obtained for the genotypes VAT90-212, SP81- 3250, EECAC 03, EECAC 04 and SP79-1011. For SucTH, the highest harmonic means were obtained for EECAC 04, VAT90-212, SP81-3250, EECAC 03 and SP79-1011. For FTH, the genotypes SP81-3250, SP79-1011, EECAC 03, EECAC 04 and EECAC 08 showed the highest harmonic means. For FP, the EECAC 06, SP79-1011, SP81-3250, EECAC 03 and EECAC 09, and finally, for the trait SP, the genotypes EECAC 07, EECAC 06, EECAC 04, EECAC 03 and RB3804 resulted the best.
The genotypes EECAC 05, EECAC 01, EECAC 09 and RB92579 showed higher stability in fiber yield. However, they did not stand out in terms of TCH, TSH and TFH. These genotypes could be used as parents in hybridization approaches, transmitting high fiber productivity to possible progenies.
The general mean for fiber percentage (15.77%) was the same obtained by Fernandes Júnior et al. (2017). However, the general mean for apparent sucrose content was considerably higher (14.83%). This difference in SP values may be due to the fact that these authors evaluated some families from crosses with Saccharum spontaneum species along with other materials combining high rusticity and low sucrose content.
It is worth mentioning that the best family selected by Fernades Júnior et al. (2017) presented a fiber content of 17%, while sucrose apparent percentage was 11.33%. These results evidence the difficulty to simultaneously concentrate high fiber and sucrose content in a genotype, since these parameters are not correlated (0.06 correlation, (21)). Therefore, in order to “optimize” these traits in genotypes obtained by artificial hybridization, several selection cycles are necessary
In the present work, considering sugar mill demands (varieties with fiber content between 12 and 17% and sucrose content about 13%), genotypes EECAC 06, EECAC 03, EECAC 04 and EECAC 07 could be commercially exploited (Table 4). EECAC 03 genotype also showed higher fiber productivity per hectare. These genotypes presented higher genotypic stability and adaptability, for all traits and throughout the harvest cycles.
Conclusion
Mixed models constitute an efficient tool for sugarcane selection focused on fiber and sucrose production. This methodology provides significant genetic gains based on predicted genetic values free from interaction with harvest cycles.
The evaluated genotypes present high fiber and sucrose productivity, genotypic adaptability and stability throughout harvest cycles, indicating longevity in the sugarcane crop.
Genotypes EECAC 06, EECAC 04, EECAC 03 and EECAC 08 presented favorable fiber and sucrose percentages, towards greater capacity for bioenergy and sugar production.
Acknowledgements
The authors thank Interuniversity Network for the Development of the Sugar and Energy Sector (RIDESA), for their financial support.
1. Alvarez Sánchez, G. F.; Salgado García, S.; Palma López, D. J.; Lagunes Espinoza, L. del C.; Ortiz Laurel, H.; Córdova Sánchez, S. 2019. Artificial seed viability of sugarcane (Saccharum officinarum L. cv. Mex 69-290) under conditions of Huimanguillo-Tabasco, Mexico. Revista de la Facultad de Ciencias Agrarias. Universidad Nacional de Cuyo. Mendoza. Argentina. 51(2): 27-41.
2. Aquino, A. F.; Bido, É. S.; Galvão, M. L. M.; Oliveira, V. N. 2014. O etanol da cana de açúcar: possibilidades energéticas da região de Ceará-Mirim-RN. Holos. 1: 105-125. doi: https://doi.org/10.15628/ holos.2014.713
3. Carvalho, L. C.; Bueno, R. C.; Carvalho, M. M.; Favoreto, A. L.; Godoy, A. F. 2013. Cana-de-açúcar e álcool combustível: Histórico, sustentabilidade e segurança energética. Enciclopédia Biosfera. 9: 530-543.
4. Dias, M. O. S.; Cunha, M. P.; Jesus, C. D. F.; Rocha, G. J. M.; Pradella, J. G. C.; Rossell, C. E. V.; Filho, R. M.; Bonomi, A. 2011. Second generation ethanol in Brazil: Can it compete with electricity production? Bioresource Technology, 102. 8964-8971. doi:10.1016/j.biortech.2011.06.098
5. Fernandes, A. C. 2004. Cálculos na agroindústria da cana-de-açúcar. Piracicaba. Ed. EME. 240 p.
6. Fernandes Júnior, A. R.; Azeredo, A. A. C.; Oliveira, R. A.; Bespalhok Filho, J. C.; Ido, O. T.; Daros, E.; Brasileiro, B. P. 2017. Agricultural performance and genetic parameters for yield-related traits of sugar-and energy cane families derived from planned crosses. Genetics and Molecular Research. 16: 1-11. doi: http://dx.doi.org/10.4238/gmr16039773
7. Garcia, C. H.; Nogueira, M. C. S. 2005. Utilização da metodologia REML/BLUP na seleção de clones de eucalipto. Scientia Forestalis. 68: 107-112.
8. Marin, F.; Nassif, D. S. P. 2013. Mudanças climáticas e a cana-de-açúcar no Brasil: Fisiologia, conjuntura e cenário futuro. Revista Brasileira de Engenharia Agrícola e Ambiental. 17: 232-239. doi: 10.1590/S1415-43662013000200015
9. Menezes, B. R. S.; Daher, R. F.; Gravina, G. A.; Silva, V. B.; Rodrigues, E. V.; Oliveira, M. L. F.; Tardin, F. D.; Ponciano, N. J.; Araújo, M. S. B.; Rocha, A. S. 2016. Seleção de genótipos de capim-elefante (Pennisetum purpurerum) utilizando a metodologia REML/BLUP. Revista de Ciências Agrárias. 39: 360-365. doi: http://dx.doi.org/10.19084/RCA15073
10. Oliver, A.; Khanna, M. 2017. Demand for biomass to meet renewable energy targets in the United States: Implications for land use. GCB Bioenergy. 9: 1476-1488. doi:10.1111/gcbb.12437
11. Oliveira, R. A.; Daros, E.; Bespalhok Filho, J. C.; Zambon, J. L. C.; Ido, O. T.; Weber, H.; Resende, M. D. V.; Neto, H. Z. 2008. Seleção de famílias de cana-de-açúcar via modelos mistos. Scientia Agraria. 9: 269-274.
12. Oliveira, I. J.; Atroch, A. L.; Dias, M. C.; Guimarães, L. J.; Guimarães, P. E. O. 2017. Seleção de cultivares de milho quanto à produtividade, estabilidade e adaptabilidade no Amazonas. Pesquisa Agropecuária Brasileira. 52: 455-463. doi: http://dx.doi.org/10.1590/s0100- 204x2017000600009
13. Oliveira de Souza, N.; Silva Alves, R.; Teodoro, P. E.; Silva, L. A.; Dessaune Tardin, F.; Baldoni Tardin, A.; Vilela de Resende, M. D.; Lopes Bhering, L. 2019. Single- and multiple-trait BLUP in genetic selection of parents and hybrids of grain sorghum. Revista de la Facultad de Ciencias Agrarias. Universidad Nacional de Cuyo. Mendoza. Argentina. 51(2): 1-12.
14. Pocovi, M. I.; Collavino, N. G.; Gutiérrez, Á.; Taboada, G.; Castillo, V.; Delgado, R.; Mariotti, J. A. 2020. Molecular versus morphological markers to describe variability in sugar cane (Saccharum officinarum) for germplasm management and conservation. Revista de la Facultad de Ciencias Agrarias. Universidad Nacional de Cuyo. Mendoza. Argentina. 52(1): 40-60.
15. Resende, M. D. V. 2007. SELEGEN-REML/BLUP: Sistema Estatístico e Seleção Genética Computadorizada via Modelos Lineares Mistos. Colombo. Ed. Embrapa Florestas. 360 p.
16. Rípoli, T. C. C.; Molina Júnior, W. F.; Rípoli, M. L. C. 2000. Energy potential of sugar cane biomass in Brazil. Scientia Agricola. 57: 677-681.
17. Rodrigues, F.; Von Pinho, R. G.; Albuquerque, C. J. B.; Von Pinho, E. V. R. 2011. Índice de seleção e estimativa de parâmetros genéticos e fenotípicos para características relacionadas com a produção de milho-verde. Ciência e Agrotecnologia. 35: 278-286. doi: http://dx.doi. org/10.1590/S1413-70542011000200007
18. Rosado, A. M.; Rosado, T. B.; Alves, A. A.; Laviola, B. G.; Bhering, L. L. 2012. Seleção simultânea de clones de eucalipto de acordo com produtividade, estabilidade e adaptabilidade. Pesquisa Agropecuária Brasileira. 47: 964-971. doi: http://dx.doi.org/10.1590/S0100- 204X2012000700013
19. Santchurn, D.; Ramdoyal, K.; Badaloo, M. G. H.; Labuschagne, M. 2012. From sugar industry to cane industry: investigations on multivariate data analysis techniques in the identification of different high biomass sugarcane varieties. Euphytica. 185: 543-558. doi: 10.1007/ s10681-012-0682-4
20. Shoeninger, V.; Coelho, S. R. M.; Silochi, R. M. H. Q. 2014. Cadeia produtiva da cachaça. Energia na Agricultura. 29: 292-300. doi: 10.17224/EnergAgric.2014v29n4p292-300
21. Silva, J. W.; Soares, L.; Ferreira, P. V.; Silva, P. P.; Silva, M. J. C. 2007. Correlações canônicas de características agroindustriais em cana-de-açúcar. Acta Scientiarum Agronomy. 29: 345-349.
22. Silva, H. C.; Anunciação Filho, C. J.; Bastos, G. Q.; Dutra Filho, J. A.; Simões Neto, D. E. 2018. Repeatibility of agroindustrial characters in sugarcane in different harvest cycles. Revista Ciência Agronômica. 49: 275-282.
23. Silveira, L. C. I.; Brasileiro, B. P.; Kist V.; Weber, H.; Daros, E.; Peternelli, L. A.; Barbosa, M. H. P. 2016. Selection in energy cane families. Crop Breeding and Applied. Biotechnology. 16: 298- 306. doi: 10.1007/s10681-015-1364-9
24. Somerville, C.; Youngs, H.; Taylor, C.; Davis, S. C.; Long, S. P. 2010. Feedstocks for lignocellulosic biofuels. Science. 329: 790-792. doi:10.1126/science.1189268
25. Tew, T. L.; Cobill, R. M. 2008. Genetic improvement of sugarcane (Saccharum spp.) as an Energy Crop. In Vermerris W. (Ed.). Genetic Improvement of Bioenergy Crops New York, Springer. 273-294.
26. Verissimo, M. A. A.; Oliveira, R. A.; Silva, S. D. A.; Daros, E.; Härter, A. 2018. Genetic parameters and performance of sugarcane families under cold stress in the South of Brazil. Pesquisa Agropecuária Brasileira. 53: 583-592.
27. Zeni-Neto, H.; Oliveira, R. A.; Daros, E.; Bespalhok-Filho, J. C.; Zambon, J. L. C.; Ido, O. T.; Weber, H. 2008. Seleção para produtividade, estabilidade e adaptabilidade de clones de cana-deaçúcar em três ambientes no estado do Paraná via modelos mistos. Scientia Agrária. 9: 425-430. doi: 10.5380/rsa.v9i4.12475.