Revista de la Facultad de Ciencias Agrarias. Universidad Nacional de Cuyo. Tomo 54(2). ISSN (en línea) 1853-8665. Año 2022.

Original article

 

Physical and chemical characterization of yacon (Smallanthus sonchifolius) roots cultivated with different doses of potassium fertilization

Caracterización física y química de raíces de yacón (Smallanthus sonchifolius) cultivadas con diferentes dosis de fertilización potásica

 

Amanda Dutra de Vargas 1*

Fábio Luiz de Oliveira 1

Luciano José Quintão Teixeira 2

Mateus Oliveira Cabral 1

Lidiane dos Santos Gomes Oliveira 1

Joab Luhan Ferreira Pedrosa 1

 

1Universidade Federal do Espírito Santo. Departamento de Agronomia. Centro de Ciências Agrárias e Engenharias. Alegre. Espírito Santo. Brasil.

2Universidade Federal do Espírito Santo. Departamento de Engenharia de Alimentos. Centro de Ciências Agrárias e Engenharias. Alegre. Espírito Santo. Brasil.

 

* amandadvargas@hotmail.com

 

Abstract

The already marked tendency for functional food consumption, low in calories, and with biologically active properties, has been increasing. In this scenario, yacon tuberous roots, with high levels of nutraceutical fructooligosaccharides, gain importance. However, these nutraceutical properties depend on fertilization management. Thus, our study aims to evaluate different doses of potassium fertilization on the physicochemical characteristics of yacon roots. The experimental design consisted of randomized blocks, with 4 replications and 5 treatments: four doses of potassium fertilization (50%; 100%; 150%; 200%) of the reference value, corresponding to 178.7 kg.ha-1; 357.4 kg.ha-1; 536.1 kg.ha-1; 714.8 kg.ha-1 of potassium chloride - (KCl), and a control (soil without fertilization). The chemical features evaluated were pH, total titratable acidity, soluble solids, conductivity, turbidity, moisture and ashes. The texture profile was analyzed through toughness, adhesiveness, cohesiveness, chewability index, elasticity, and gooeyness. Most of the variables were influenced by potassium soil fertilization. Only turbidity, conductivity and gumminess showed no response to the applied doses, not fitting the tested models. Potassium fertilization improved both chemical (higher levels of soluble solids and less acidity) and physical characteristics (less hardness, chewability, cohesiveness, and adhesion) of yacon tuberous roots, bringing greater quality to the final product.

Keywords: Smallanthus sonchifolius; Fructooligosaccharides; Functional food; Tuberous roots.

 

Resumen

La tendencia en el consumo de alimentos funcionales, con pocas calorías y con propie­dades biológicamente activas, ha ido en aumento. El consumo de raíces tuberosas de yacón se adapta a este concepto por los altos niveles de fructooligosacáridos, lo que le confiere propiedades nutracéuticas. Sin embargo, estas propiedades pueden modularse mediante el manejo de la fertilización en el cultivo de esta planta. Así, nuestro estudio tiene como objetivo evaluar diferentes dosis de fertilización potásica en las características fisico­químicas de las raíces de yacón. El diseño experimental utilizado fue de bloques al azar, con 4 repeticiones y 5 tratamientos: cuatro dosis de fertilización potásica (50%; 100%; 150%; 200%) del valor de referencia, correspondiente a 178,7 kg.ha-1; 357,4 kg.ha-1; 536,1 kg.ha-1; 714,8 kg.ha-1 de cloruro de potasio - (KCl), y un testigo (suelo sin fertilizar). Las carac­terísticas químicas evaluadas fueron pH, acidez total titulable, sólidos solubles, conduc­tividad, turbidez, porcentaje de humedad y cenizas. El perfil de textura se elaboró anali­zando la tenacidad, la adhesividad, la cohesión, el índice de masticabilidad, la elasticidad y la pegajosidad. La fertilización con potasio mejoró las características químicas (mayores niveles de sólidos solubles y menor acidez) y las características físicas (menor dureza, masticabilidad, cohesión y adherencia) de las raíces tuberosas de yacón, aportando mayor calidad al producto final.

Palabras clave: Smallanthus sonchifolius; Fructooligosacáridos; Comida functional; Raíces tuberosas.

 

Originales: Recepción: 07/08/2021

Aceptación: 23/06/2022

 

 

Introduction

 

 

The search for foods with low carbohydrates and greater amounts of antioxidants and vitamins, i.e. with biologically active value, has increased (11). In this context, yacon (Smallanthus sonchifolius) an Asteraceae of Andean origin, gains importance for its tuberous roots with high concentrations of inulin and fructooligosaccharides (FOS) (4).

Yacon is considered a prebiotic food. Several immunostimulatory characteristics promote antimicrobial, anti-inflammatory, and antioxidant activity (51). It also acts in the regulation of appetite (45), increasing mineral availability (23), positively modulating the immune system (52), in the hypolipidemic effect (33) and preventing diseases such as diabetes and cancer (40).

The tuberous roots of yacon are sweet and slightly crunchy, resembling fruits such as apple, pear, watermelon, and melon, mostly consumed in fresh. However, other forms of consumption have also been studied (24).

Chemical characteristics, such as pH, soluble solids, and total titratable acidity, together with texture, flavor, and appearance constitute some of the quality attributes leading consumers to accept or reject a given food (28). Variations in the physical and chemical characteristics of yacon tuberous roots have been studied regarding cultivation and processing (46, 50). Thus, studying techniques that improve its production system increasing quality, turns essential for a successful production.

In plant nutrition, potassium is considered an essential nutrient. It participates in enzymatic activation, protein formation, photosynthesis (21), regulation of osmotic pressure, and opening and closing of stomata (48). It is also associated with root size, shape, texture, color, flavor, acidity, nutrient transport resistance, nutritional value (38), and even market value (12). Considering this, optimizing the use of potassium constitutes an important tool in crop management, and since information related to this matter is still scarce, our study aims to evaluate the physicochemical characteristics of yacon tuberous roots as a function of different doses of potassium fertilization.

 

 

Material and methods

 

 

The experiment was located in the municipality of Alegre, in the State of Espírito Santo, Brazil, (20°47’1” S, 41°36’56” W, 680 m a. s. l.). Precipitation, relative humidity, and monthly temperature averages were obtained by automatic meteorological stations close to the experiment, using Incaper in Iúna, Espirito Santo, Brazil (20°21’ S, 41°33’ W, 758 m a. s. l. (Figure 1).

 

Figure 1: Monthly averages of precipitation, relative humidity, and temperature during the experimental period. Alegre-ES, 2020.

Figura 1: Promedios mensuales de precipitación, humedad relativa y temperatura durante el período del experimento. Alegre-ES, 2020.

 

 Average monthly temperatures fluctuated from 17.79 to 21.43°C, and rainfall summed 638 mm during field experiments.

Soil samples were collected and subjected to laboratory analysis, showing the following chemical characteristics: water pH 4.80 , P 3.95 mg dm-3 , K 42.00 mg dm-3 , Ca 0.68 cmolc dm-3, Mg 0.22 cmolc dm-3 , Al 1.00 cmolc dm-3 , exchangeable bases,1.01 cmolc dm-3 cation exchange capacity 2.01 cmolc dm-3 and base saturation index 8.89%.

Soil preparation was done by plowing and harrowing at a depth of 40 cm. Liming was performed using dolomitic limestone with 96% PRNT increasing base saturation to 70%, with a period of 60 days for planting. For the propagation of yacon, 30 grams rhizophores with three to four buds were used, as recommended by Pedrosa et al. (2020) and planted individually on ridges with a spacing of 1.0 m × 0.5 m, as recommended by Carvalho et al. (2020).

The experiment was conducted in a randomized complete block design, with four replications of four different doses of potassium fertilization: 50%; 100%; 150%, and 200% of the reference value (26); and a control (soil without fertilization). The experimental plot consisted of three lines with three plants providing nine useful plants for evaluations, bordered by 2 rows and 2 extra plants. The reference value considered, at the end of 210 days after planting, was 106.8 kg. ha-1 of K in yacon plants (26). Final dose estimation, considering K2O, resulted128.65 kg. ha-1. A recovery efficiency of 60% for K was also considered (43). Thus, potassium chloride (KCl) doses applied were: 178.7 kg. ha-1; 357.4 kg. ha-1; -536.1 kg. ha-1 and 714.8 kg. ha-1, equivalent to 50, 100, 150 and 200%. Two applications were made in coverage. The first application was performed when 80% of the plants emerged, with the first pair of leaves open (80 days after planting) and the second application was done 30 days later (110 days after planting).

Nitrogen and phosphate fertilization, were added with 382.2 kg.ha-1 of urea and 422.6 kg.ha-1 of simple superphosphate (26), achieving 172 kg.ha-1 for N and 33.2 kg.ha-1 for P (converted to 76.07 kg of P2O5). Phosphate fertilization was performed at planting while nitrogen fertilization was performed in coverage along with potassium. During the whole experimental period, irrigation was done by sprinkling while weeds were manually controlled.

At the end of the experiment, 210 days after planting, the plants were harvested and the roots separated and taken to the Food Chemistry Laboratory of the CCAE/UFES for chemical analyzes such as pH, soluble solids, total acidity, conductivity, turbidity, humidity, and ashes. A sample of these roots was separated for physical analysis, at the Food Science and Technology Laboratory (CCAE/UFES), where the following parameters were observed: toughness, adhesiveness, cohesiveness, index of chewability, elasticity, and gooeyness.

For chemical analysis, the roots were cut, washed, dried, and taken to a centrifuge to extract the juice, then filtered with filter paper for later evaluations. Juice direct readings of pH, electrical conductivity, and soluble solids were conducted.

Total titratable acidity was obtained by a diluted sample of the juice (5 mL of juice + 50 mL of distilled water), titrated with 0.1 mol L-1 NaOH solution, using phenolphthalin, according to Instituto Adolfo Lutz (2008). Acidity was calculated as a function of malic acid, the most expressive acid in yacon. Turbidity, in 10 mL of juice + 40 mL of distilled water was assessed using a turbidimeter.

Subsequently, roots from each treatment were grated and a sample was incinerated in the muffle at 550°C, until constant weight, obtaining ashes. For humidity, another set of samples was oven-dried at 105°C. Finally, root samples were standardized at 2 cm thickness and 4 cm diameter for texture analysis. Parameters were determined using the Brookfield CT3 texturometer and the TA39 needle probe, with a test speed of 2 mm s-1. The target distance for drilling was set at 5 mm.

Linear regression models were tested for data processing. The analysis was performed based on average values for each treatment (four repetitions). The sum of squares, R2 (coefficient of determination), and significance of regression coefficients constituted model parameters. Statistical analyses were performed with the open code software R (39).

 

 

Results and discussion

 

 

Turbidity and conductivity did not fit any model. The doses used did not influence root chemical variability (Figure 2 AB).

 

Figure 2: Turbidity (A) and electrical conductivity (B) in juice of yacon tuberous roots, according to different potassium doses. Alegre-ES, 2020.

Figura 2: Turbidez (A) y conductividad eléctrica (B) en el jugo de raíces tuberosas de yacón, según las diferentes dosis de potasio. Alegre-ES, 2020.

 

No change in juice turbidity means that the tested potassium doses did not influence insoluble solids in suspension (proteins, pectin, lipids, cellulose, and hemicellulose) in yacon roots. Insoluble solids remain in suspension after cell rupture during juice preparation (20). Juice turbidity is essential for market acceptance (8), thus, the non-alteration of this characteristic is a positive result evidencing that potassium fertilization would not cause quality losses.

Likewise, conductivity did not change, possibly due to the non-variation in turbidity, since the first is influenced by several factors, such as electrolyte concentration and temperature (27). Conductivity reflects solutions ionic behavior, and according to Icier and Ilicali (2005), can be altered by the content of insoluble solids. Several studies point out this relationship. Some authors evaluated the effect of suspended-particle size in mango juice and observed higher electrical conductivity in particle-free samples, noting that, probably, intermediate-sized particles hinder ionic movement (54). A similar result was found by Pelacani and Vieira (2003), also in mango juice and Palaniappan and Sastry (1991), in carrot juice. Both studies showed that conductivity is higher in solutions with smaller insoluble particles. Regarding the direct influence of potassium doses, Gurgel et al. (2010) evaluating postharvest quality of melons, obtained similar results for juice conductivity, in which regression analyzes did not fit the tested models.

Soluble solids, pH, and total titratable acidity achieved linear model fitting. Soluble solids content showed a slight increase, reaching 10% when comparing the highest tested dose with the unfertilized treatment (Figure 3A).

 

Figure 3:  Soluble solids (A), pH (B), and total titratable acidity (C) in juice from yacon tuberous roots according to different potassium doses. Alegre-ES, 2020.

Figura 3: Sólidos solubles (A), pH (B) y acidez total titulable (C) en jugo de raíces tuberosas de yacón según diferentes dosis de potasio. Alegre-ES, 2020.

 

The pH, on the other hand, showed a slight decrease, although more pronounced for total acidity, which decrease by 17% with the highest potassium dose (Figure 3 BC). Increased total soluble solids with the highest availability of potassium occur as a result of a potassium-mediated favored carbohydrates formation and translocation (22). Potassium influences plant water transport stimulating solute storage in organs such as seeds, tubers, roots, and fruits (25, 38).

The results show a contribution of potassium fertilization for yacon roots quality evidenced by increased sugar content (main component of soluble solids), vitamin C, other acids, and some pectins, as previously mentioned (7), rising the possibility for this product´s market better acceptance.

The observed subtle decrease in acidity (pH and total acidity) may have occurred after a greater conversion of sugars (higher levels of soluble solids) and degradation of organic acids (19, 35), possibly after accelerated root maturation, given greater availability of potassium. Similar results were observed by Barreto et al. (2020) with peach, Delgado et al. (2004) with grapes, and Veloso et al. (2001) with pineapple, who reported fruit ripening anticipation, favored by increasing available potassium.

In fruit ripening, higher sugar levels cause sharp neutralization of organic acids, making the fruit less acidic and sweeter (14). This possibility was also pointed out by Silva et al. (2018) for yacon roots, after observing a reduction in acidity at an established stage of life-cycle ending, then considered as the proper harvest time for sweeter roots, an essential characteristic for palatability and better market acceptance.

Regarding humidity and ashes, an increasing linear fit showed that for the highest potassium dose (200%) both variables increased 8 and 22%, respectively (Figure 4).

 

Figure 4:  Humidity (A) and ashes (B) in yacon tuberous roots, according to increasing potassium doses (Alegre-ES, 2020).

Figura 4: Humedad (A) y cenizas (B) en raíces tuberosas de yacón, según las diferentes dosis de potasio (Alegre-ES, 2020).

 

This increased humidity in yacon roots means high water content and low energetic food, both high-quality standards (41). Humidity may vary depending on a range of interactive factors, including field conditions, planting, harvest, and fertilization (34). Similar results in potato tubers obtained by Quadros et al. (2009) pointed out that the highest potassium dose provided higher percentages of humidity. However, considering post-harvest conservation, significant higher moisture contents may cause greater difficulty in preserving the product (44, 47). Still, the resulted increase (8% for the highest dose compared to the control) turns irrelevant, as with fast and adequate storage (dehydration preventing conditions) (49), no significant losses should complicate commercialization.

The higher levels of ashes are related to increasing root mineral contents after potassium fertilization. This was already observed by Quadros et al. (2009) with common potatoes. Additionally, Oliveira et al. (2015) state the importance of potassium supply, through balanced nutrition, since product quality (tuber, rhizomes, and tuberous roots), may vary according to the performed fertilization.

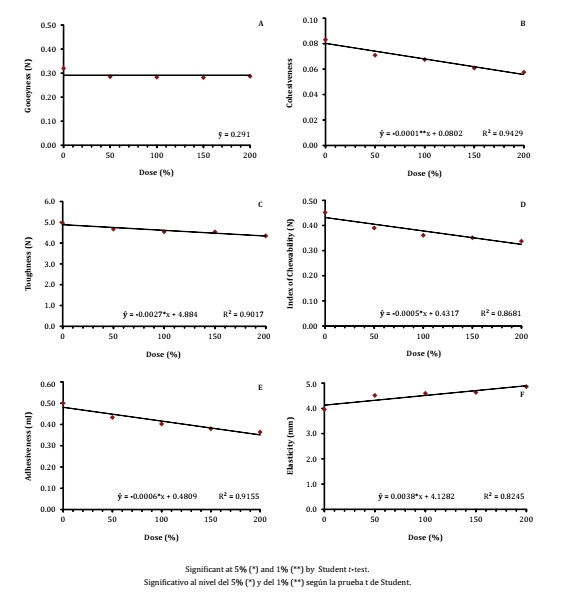
Regarding texture analysis, only gooeyness values resulted independent of potassium doses. For cohesiveness, toughness, index of chewability, and adhesiveness, increasing potassium doses resulted in decreasing values. Elasticity, in turn, increased with increasing doses (Figure 5).

 

Figure 5: Gooeyness (A), cohesiveness (B), toughness (C), index of chewability (D), adhesiveness (E), and elasticity (F) of yacon tuberous roots, as a function of increasing potassium doses (Alegre- ES, 2020).

Figura 5: Pegajosidad (A), cohesión (B), tenacidad (C), índice de masticabilidad (D), adhesividad (E) y elasticidad (F) de las raíces tuberosas de yacón, en función de diferentes dosis de potasio (Alegre- ES, 2020).

 

Gooeyness is related to the force required to disintegrate food, by dissociating its mass. For Bolzan and Pereira (2017), it is associated with toughness and cohesiveness. However, in this case, despite the linear decrease in cohesiveness and hardness with the increasing potassium doses, no gooeyness alteration was evidenced in the analyzed yacon tuberous roots. That is, yacon roots can withstand rupture (cohesiveness measure), and demand less strength to be obstructed (toughness measure) (1). In this sense, in a prior sensory analysis with the application of potassium doses, the roots became softer, requiring less strength (25% less with the highest dose of potassium) to be squeezed between the molar teeth at the first bite (14). The same was noticed for chewability (around 24% reduction of needed strength with the highest dose of potassium) (9). These results evidence gains in sensory quality of yacon roots fertilized with potassium.

Decreased adhesion occurred after increasing humidity, which, according to Rahman and Al-Farsi (2005) are inversely proportional characteristics. In sensory terms, increasing potassium doses, eases food ingestion, due to lower adherence strength (reduction of around 28% with the highest dose of potassium), increasing sensory quality.

The resulting root-increased elasticity was expected since this characteristic is inversely proportional to hardness, cohesiveness, and chewability (42). This greater elasticity (18% in the maximum dose) contributed to root quality.

Finally, texture constitutes an important factor and quality criterion for the sensory acceptance of food (6). Thus, the results obtained show that potassium fertilization improves both physical and chemical characteristics of yacon roots.

 

 

Conclusion

 

 

Potassium fertilization improved both physical and chemical characteristics of yacon roots. The best results were observed with the maximum applied dose (357.4 kg.ha-1 of KCl).

With the application of the maximum dose, highest levels of soluble solids (9.25%), moisture (92.24 %), ash (0.454 %) and elasticity (4.86 mm) and lower acidity (0.101 %) and pH (6.22) were achieved, in addition to lowest chewability indexes (0,337 N), hardness (4,35 N), cohesiveness (0,058) and stickiness (0,364 mJ). Such results add greater value to the final quality of the roots.

 

Acknowlegments

The authors are grateful to CNPq (National Council for Scientific and Technological Development) and FAPES (Research Support Foundation of Espírito Santo), for the financial aid to the research. CAPES (Coordination for Improvement of Higher Education Personnel) for the master’s scholarship to the first author.

 

References

1. Atallah, A. A.; Morsy, K. M. 2017. Effect of incorporating royal jelly and bee pollen grains on texture and microstructure profile of probiotic yoghurt. Journal of Food Processing and Technology. 8(9): 1-4. DOI: 10.4172/2157-7110.1000693

2. Barreto, C. F.; Ferreira, L. V.; Navroski, R.; Benati, J. A.; Cantillano, R. F. F.; Vizzotto, M.; Nava, G.; Antunes, L. E. C. 2020. Potassium fertilization in peach fruit quality. Revista de Ciências Agroveterinárias. 19(4): 420-427. DOI: 10.5965/223811711942020420

3. Bolzan, A. B.; Pereira, E. A. 2017. Elaboração e caracterização de doce cremoso de caqui com adição de sementes da araucária. Brazilian Journal of Food Technology. 20(1). DOI: 10.1590/1981-6723.6116

4. Caetano, B. F.; Moura, N. A.; Almeida, A. P.; Dias, M. C.; Sivieri, K.; Barbisan, L. F. 2016. Yacon (Smallanthus sonchifolius) as a Food Supplement: Health-Promoting Benefits of Fructo oligosaccharides. Nutrients. 8(12): 436-440. DOI: 10.3390/nu8070436

5. Carvalho, A. H. O.; Oliveira, F. L.; Lima, W. L.; Teixeira, A. G.; Pedrosa, J. L. F.; Parajara, M. C. 2020. Production and profitability of yacon grown in different spatial arrangements. Australian Journal of Crop Science. 14: 1214-1220. DOI: 10.21475/ajcs.20.14.08.p2158

6. Chen, L.; Opara, U. L. 2013. Approaches to analysis and modeling texture in fresh and processed foods - A review. Journal of Food Engineering. 119(6): 497-507. DOI: 10.1016/j. jfoodeng.2013.06.028

7. Chitarra, M. I. F.; Chitarra, A. B. 2005. Pós-colheita de frutas e hortaliças: fisiologia e manuseio. Lavras, MG: Universidade Federal de Lavras.

8. Correa Neto, R. S.; Faria, J. A. F. 1999. Fatores que influenciam na qualidade do suco de laranja. Ciência e Tecnologia de Alimentos. 19(1): 153-161. DOI: 10.1590/S0101-20611999000100028

9. Curi, P. N.; Carvalho, C. S.; Salgado, D. L.; Pio, R.; Paqual, M.; Souza, F. B. M.; Souza, V. R. 2017. Influence of different types of sugars in physalis jellies. Food and Science Technology. 37(3): 349-355. DOI: 10.1590/1678-457X.08816

10. Delgado, R.; Martín, P.; Álamo, M.; González, M. R. 2004. Changes in the phenolic composition of grape berries during ripening in relation vineyard nitrogen and potassium fertilization rates. Journal of the Science of Food and Agriculture. 84(7): 623-630. DOI: 10.1002/jsfa.1685

11. Dionísio, A. P.; Silva, L. B. C.; Vieira, N. M.; Goes, T. S.; Wurlitzer, N. J.; Borges, F. M.; Figueiredo, R. W. 2015. Cashew-apple (Anacardium occidentale L.) and yacon (Smallanthus sonchifolius) functional beverage improve the diabetic state in rats. Food Research International. 77: 171-176. DOI: 10.1016/j.foodres.2015.07.020

12. Filgueira, F. A. R. 2008. Novo manual de olericultura: agrotecnologia moderna na produção e comercialização de hortaliças. Viçosa, MG: Universidade Federal de Viçosa.

13. Garrido, J. I.; Lozano, J. E.; Genovese, D. B. 2015. Effect of formulation variables on rheology, texture, colour, and acceptability of apple jelly: Modelling and optimization. Food Science and Technology. 62(1): 325-332. DOI: 10.1016/j.lwt.2014.07.010

14. Grangeiro, L. C.; Cecílio Filho, A. B. 2004. Qualidade de frutos de melancia em função de fontes e doses de potássio. Horticultura Brasileira. 22(3): 647-650. DOI: 10.1590/S0102- 05362004000300030

15. Gurgel, M. T.; Oliveira, F. H. T.; Gheyi, H. R.; Fernandes, P. D.; Uyeda, C. A. 2010. Qualidade pós-colheita de variedades de melões produzidos sob estresse salino e doses de potássio. Revista Brasileira de Ciências Agrárias. 5(3): 398-405. DOI: 10.5039/agrária.v5i3a507

16. Icier, F.; Ilicali, C. 2005. Temperature dependent electrical conductivities of fruit purees during ohmic heating. Food Research International. 38: 1135-1142. DOI: 10.1016/j.foodres.2005.04.003

17. Incaper - Istituto Capixaba de Pesquisa, Assistência Técnica e Extensão Rural. 2020. Boletim Agrometeorológico. https://meteorologia.incaper.es.gov.br/boletimagrometeorologico-dados?estacao=iuna_auto_inc.xls&municipio=iuna  

18. Instituto Adolfo Lutz. Métodos físico-químicos para análise de alimentos. São Paulo, SP: Instituto Adolfo Lutz.

19. Kader, A. A. 1978. Quality factors: definition and evaluation for fresh horticultural crops. In Kader, A. A. (Ed.). Postharvest Technology of Horticultural Crops. 118-121. California: University of California.

20. Klavons, J. A.; Bennett, R. D.; Vannier, S. D. 1994. Physical and chemical nature of pectin associated with commercial orange juice cloud. Journal of Food Science. 59(2): 399-401. DOI: 10.1111/j.1365-2621.1994.tb06976.x

21. Kumar, P.; Pandey, S. K.; Singh, B. P.; Singh, S. V.; Kumar, D. 2007. Influence of source and time of potassium application on potato growth, yield, economics and crisp quality. Potato Research. 50(1): 1-13. DOI: 10.1007/s11540-007-9023-8

22. Lin, D.; Huang, D.; Wang, S. 2001. Effects of potassium levels on fruit quality of muskmelon in soilless medium culture. Scientia Horticulturae. 102(1): 53-60. DOI: 10.1016/j.scienta.2003.12.009

23. Lobo, A. R.; Gaievski, E. H. S.; Carli, E.; Alvares, E. P.; Colli, C. 2014. Fructo-oligosaccharides and iron bioavailability in anaemic rats: The effects on iron species distribution, ferroportin-1 expression, crypt bifurcation and crypt cell proliferation in the caecum. British Journal of Nutrition. 112(8): 1286-1295. DOI: 10.1017/S0007114514002165

24. Macedo, L. L.; Araújo, C. S.; Vimercati, W. C.; Saraiva, S. H.; Teixeira, L. J. Q. 2019. Evaluation of different bleaching methods applied to yacon. Journal of Food Process Engineering. 42(7). DOI: 10.1111/jfpe.13276

25. Malavolta, E.; Vitti, G. C.; Oliveira, S. A. 1997. Avaliação do estado nutricional das plantas. Piracicaba, SP: Associação Brasileira para Pesquisa da Potassa e do Fósforo.

26. Mendes, T. P. 2019. Marcha de absorção de nutrientes em yacon. Dissertação de Mestrado, Curso de Agronomia: Universidade Federal do Espírito Santo. Alegre.

27. Min, S.; Sastry, S. K.; Balasubramaniam, V. M. 2007. In situ electrical conductivity measurement of select liquid foods under hydrostatic pressure to 800MPa. Journal of Food Engineering. 82: 489-497. DOI: 10.1016/j.jfoodeng.2007.03.003

28. Mohsenin, N. N. 1986. Physical properties of plant and animal materials: structure, physical caracteristics and mechanical properties. Canadá. Gordon and Breach Publishers. 891 p.

29. Oliveira, A. P.; Silva, O. P. R.; Leonel, M.; Guimarães, L. M. P.; Andrade, G. P. 2015. Inhame (Dioscorea spp). In M. Leonel, A. M. Fernandes, & C. M. L. Franco (Ed.). Culturas amiláceas: Batata-doce, inhame, mandioca e mandioquinha-salsa. 121-182. Botucatu, SP: Universidade Estadual Paulista.

30. Palaniappan, S.; Sastry, S. K. 1991. Electrical conductivity of selected juices: influences of temperature, solids contend, applied voltage and particle size. Journal of Food Process Engineering. 14: 247-260. DOI: 10.1111/j.1745-4530.1991.tb00135.x

31. Pedrosa, J. L. F.; Oliveira, F. L.; Zucoloto, M.; Teixeira, A. G.; Parajara, M. C.; Tomaz, M. A. 2020. Yacon (Smallanthus sonchifolius) propagation from rhizophores with different numbers of buds. Revista de la Facultad de Ciencias Agrarias. Universidad Nacional de Cuyo. Mendoza. Argentina. 52(2): 52-63.

32. Pelacani, V. P.; Vieira, J. A. G. 2003. Condutividade elétrica do suco de manga. Alimentos e Nutrição. 14(1): 43-45.

33. Pereira, J. A. R.; Barcelos, M. F. P.; Ferreira, E. B.; Pereira, R. C.; Angelis-Pereira, M. C. 2016. Changes in glucose levels and fecal excretion of lipids due to consumption of yacon flour. Nutrition & Food Science. 46(6): 791-802. DOI: 10.1108/NFS-12-2015-0159

34. Popp, P. R. 2005. Batata para processamento - aptidão da matéria prima para processamento. Curitiba, PR: Paulo Popp Consultoria Ltda.

35. Pretty, K. M. 1982. O potássio e a qualidade da produção agrícola. In T. Yamada; K. Igue; O. Muzilli; N. R. Usherwood (Ed.). Potássio na agricultura brasileira. p. 177-194. Piracicaba, SP: Associação Brasileira para Pesquisa da Potassa e do Fósforo.

36. Quadros, D. A.; Iung, M. C.; Ferreira, S. M. R.; Freitas, R. J. S. 2009. Chemical composition of potato tubers for processing, grown in different levels and sources of potassium. Ciência e Tecnologia de Alimentos. 29(2): 316-323. DOI: 10.1590/S0101-20612009000200013

37. Rahman, M. S.; Al-Farsi, S. A. 2005. Instrumental texture profile analysis (TPA) of date flesh as a function of moisture content. Journal of Food Engineering. 66(4): 505-511. DOI: 10.1016/j. jfoodeng.2004.04.022

38. Raij, B. 1990. Potássio: necessidade e uso na agricultura moderna. Piracicaba, SP: Associação Brasileira para Pesquisa da Potassa e do Fosfato.

39. R Core Team. 2020. R: A language and environment for statistical computing. Vienna, Austria: R Foundation for Statistical Computing.

40. Saldaña, E.; Siche, R.; Castro, W.; Huamán, R.; Quevedo, R. 2014. Measurement parameter of color on yacon (Smallanthus sonchifolius) slices using a computer vision system. Food Science and Technology. 59(2): 1220-1226. DOI: 10.1016/j.lwt.2014.06.037

41. Santana, I.; Cardoso, M. H. 2008. Raiz tuberosa -de yacon (Smallanthus sonchifolius): potencialidade de cultivo, aspectos tecnológicos e nutricionais. Ciência Rural. 38(3): 898-905. DOI: 10.1590/S0103-84782008000300050

42. Santos, K. C.; Gonçalves, R. G.; Alegria, C.; Almeida, D. P. F. 2016. Evolução do perfil sensorial de textura de pera Rocha durante o período de armazenamento. Actas Portuguesas de Horticultura. 28: 133-138.

43. Santos, L. P. D. 2016. Modelagem da recomendação de nitrogênio, fósforo e potássio e métodos de aplicação de fósforo para a cultura da batata. Dissertação de Mestrado, Curso de Agronomia: Universidade Federal de Viçosa. Rio Paranaíba, MG.

44. Shekhar, S.; Mishra, D.; Buragohain, A. K.; Chakraborty, S.; Chakraborty, N. 2015. Comparative analysis of phytochemicals and nutrient availability in two contrasting cultivars of sweet potato (Ipomoea batatas L.). Food Chemistry. 173: 957-965. DOI: 10.1016/j.foodchem.2014.09.172

45. Silva, M. F. G.; Dionísio, A. P.; Carioca, A. A. F.; Adriano, L. S.; Pinto, C. O.; Abreu, F. A. P.; Wurlitzer, N. J.; Araújo, I. M.; dos Santos Garruti, D.; Ferreira Pontes, D. S. 2017. Yacon syrup: Food applications and impact on satiety in healthy volunteers. Food Research International. 100: 460-467. DOI: 10.1016/j.foodres.2017.07.035

46. Silva, D. M. N.; Lima, R. R.; Oliveira, F. L.; Teixeira, L. J. Q.; Machado, L. C. A. 2018. Physical and chemical characterization of yacon tuberous roots at different altitudes and planting times. Horticultura Brasileira. 36(2): 199-204. DOI: 10.1590/S0102-053620180209

47. Silveira, M. A. 2008. Batata-doce: uma nova alternativa para a produção de etanol. In Instituto Euvaldo Lodi. Álcool combustível: Série Indústria em Perspectiva. p. 109-122. Brasília, DF: Instituto Euvaldo Lodi.

48. Taiz, L.; Zeiger, E. 2004. Fisiologia vegetal. Porto Alegre, RS: Artmed.

49. Valentová, K.; Stejskal, D.; Bartek, J.; Dvorackova, S.; Kren, V.; Ulrichova, J.; Simanek, V. 2007. Maca (Lepidium meyenii) and yacon (Smallanthus sonchifolius) in combination with silymarin as food supplements: in vivo safety assessment. Food and Chemical Toxicology. 46(3): 1006-1013. DOI: 10.1016/j.fct.2007.10.031

50. Vasconcelos, C. M.; Silva, C. O.; Teixeira, L. J. Q; Chaves, J. B. P.; Martino, H. S. D. 2010. Determination of the soluble dietary fiber fraction in yacon (Smallanthus sonchifolius) root and flour by enzymatic-gravimetric method and high pressure liquid chromatography. Revista do Instituto Adolfo Lutz. 69: 188-193.

51. Vasconcelos, C. M.; Oliveira, E. B.; Rossi, S. N.; Arantes, L. F.; Puschmann, R.; Chaves, J. B. P. 2015. Evaluating strategies to control enzymatic browningof minimally processed yacon(Smallanthus sonchifolius). Food and Bioprocess Technology. 8(9): 1982-1994. DOI: 10.1007/s11947-015-1558-0

52. Vaz-Tostes, M. G.; Viana, M. L.; Grancieri, M.; Luz, T. C. S.; Paula, H.; Pedrosa, R. G.; Costa, N. M. B. 2014. Yacon effects in immune response and nutritional status of iron and zinc in preschool children. Nutrition. 30(6): 666-672. DOI: 10.1016/j.nut.2013.10.016

53. Veloso, C. A. C.; Oeiras, A. H.; Carvalho, E. J. M.; Souza, F. R. S. 2001. Resposta do abacaxizeiro à adição de nitrogênio, potássio calcário em latossolo amarelo do nordeste paraense. Revista Brasileira de Fruticultura. 23(2): 396-402. DOI: 10.1590/S0100-29452001000200040

54. Vieira, J. A. G.; Cartapatti-Stuchi, G. A. S. 2006. Efeito do tamanho das partículas e da tensão aplicada sobre a condutividade elétrica e o tempo de descongelamento do suco de manga. Sitientibus. (35): 99-109.