Revista de la Facultad de Ciencias
Agrarias. Universidad Nacional de Cuyo. Tomo 55(2). ISSN (en línea) 1853-8665.
Año 2023.
Original article
Land
tenure and cost inefficiency: the case of rice (Oryza sativa L.)
cultivation in Chile
Tenencia
de tierra y costo ineficiencia: el caso del cultivo de arroz (Oryza sativa L.)
en Chile
Ricardo Andrés
Troncoso Sepúlveda1*,
Juan Hernán Cabas
Monje2,
Bouali Guesmi3
1Universidad
Católica del Norte. Departamento de Administración. Avenida Angamos. 0610. C.
P. 1249004. Antofagasta. Chile.
2Universidad
del Bío-Bío. Departamento de Gestión Empresarial. Grupo de Investigación en
Agronegocios. Avda. Andrés Bello 720. Casilla 447. C. P. 3800708. Chillán.
Chile.
3Centro
de Economía y Desarrollo Agroalimentario (CREDA-UPC-IRTA). Campus del Baix
Llobregat-UPC. Esteve Terradas. 8. Castelldefels. 08860. Barcelona. España.
*ricardo.troncoso@ucn.cl
Abstract
This study aims
to examine the impact of land tenure arrangements on production costs in a
sample of rice farmers in Ñuble Region, Chile. A stochastic frontier model was estimated
using the primal approach on a panel of 107 farmers in 2014-2015. Production cost
was broken down into frontier costs and inefficiency. According to findings,
economic inefficiency raises rice production costs by 82%. Technical
inefficiency accounts for a 61% increase, while allocative inefficiency
accounts for 21%. Across tenure types, land is the input with the highest
misallocation, accounting for 93% of allocative inefficiency costs. Sharecropping
is the arrangement allocating inputs most efficiently, producing significant differences
in production costs relative to leasing and ownership. This finding suggests
that before designing a policy to induce a tenure system, it is necessary to
evaluate specific cases as there is no system superior to another, strictly
speaking.
Keywords: rice production,
land tenure, stochastic model, cost inefficiency, misallocation
Resumen
El propósito de
este trabajo es analizar el impacto del acuerdo de tenencia de tierra sobre los
costos de producción, en una muestra de productores de arroz en la Región de
Ñuble, Chile. Usando un panel de 107 agricultores para los años 2014 y 2015, se
estimó un modelo de frontera estocástica, mediante el enfoque primal, y
descompuso el costo de producción en costos de frontera e ineficiencia. Los
resultados muestran que la ineficiencia económica incrementa en 82% los costos
de producción de arroz. Un 61% del incremento se debe a ineficiencia técnica y
21% a ineficiencia en asignación. Transversal al tipo de tenencia, tierra es el
factor de producción que presenta la peor asignación, contribuyendo en un 93% a
los costos por este tipo de ineficiencia. Mediería, es el acuerdo que asigna
los factores con mayor eficiencia, produciendo diferencias significativas en
los costos de producción en relación con arriendo y propiedad. Este hallazgo,
sugiere que antes de diseñar una política para inducir un sistema de tenencia,
es necesario evaluar casos específicos, ya que no existe un sistema que en
estricto rigor sea superior a otro.
Palabras clave: producción de
arroz, tenencia de la tierra, modelo estocástico, ineficiencia de costos, mala
asignación
Originales: Recepción: 19/04/2023 - Aceptación: 22/09/2023
Introduction
Rice is a staple
food for half of the world’s population and the third most-produced cereal
after maize and wheat on a world basis. More than 90% of total production is
concentrated in Asian regions, primarily in China, India, and Indonesia, where
local production accounts for 66% of global output (14,
45). In Chile, production is concentrated in Maule and Ñuble regions,
with an average of 83,368 tons of rice available for human consumption from
2012 to 2022. Historically, this volume has been insufficient to meet 40% - 45%
of the domestic demand, with the remainder imported primarily from Argentina,
Uruguay, and Paraguay (36). National
output has dropped by 30.4% over the last decade, due not only to adverse
climatic factors such as frost and water scarcity, but also to current high
input prices for fertilizers and pesticides, high land prices, labor shortages,
and low market prices, which have significantly reduced output (35). These factors put farmers under pressure to
become more efficient in rice production and input utilization to avoid
additional costs and make farms profitable. This raises several questions. One
of them refers to the study of the characteristics, unique to the farmer, the
farm, and the environment, which help understand why one farmer is more
cost-efficient than another and, particularly, what role tenure arrangements to
exploit the land play. The latter is the focus of this study.
Tenure
arrangements, which govern land exploitation, can have an impact on production
and cost efficiency. Landlord, fixed rent, and sharecropping are the most
common land tenure systems documented in the literature (1). A large body of literature discusses the
factors influencing agricultural production efficiency. However, studies on the
impact of various types of land tenure arrangements on production costs are
scarce. Works such as Ackerberg and Botticini (2000),
Alem et al. (2018) and Islam
(2018), conclude that land tenure, either leased or owned, favors technical
efficiency levels, but they do not break down production costs into technical
inefficiency and input misallocation inefficiency cost. Other papers, decompose
and analyze the determinants of technical and allocative efficiencies, but they
do not estimate the costs of these inefficiencies, nor analyze differences
between land tenure arrangements or the degree of input misallocation and its
impact on costs (13, 19, 26, 37, 44).
This paper aims
to analyze differences in production costs, particularly those due to technical
and allocative inefficiencies between ownership, leasing, and mediation arrangements
among rice producers in Chile. No other studies deal with this relationship on
a cost basis, nor estimate input allocation problems among small rice farmers
in Chile. For this purpose, a stochastic frontier model was implemented. Using
the primal approach, the degree of input misallocation was estimated and the
cost of production was broken down into frontier costs and technical and
allocative inefficiencies on a farm basis. The model is applied to a panel data
of rice farmers in the Ñuble Region, Chile, collected during the years 2014 and
2015.
This paper is
structured as follows: The second part concisely describes rice cultivation and
its production chain in Chile. The third section briefly describes the
agricultural land tenure system in the country and analyzes its evolution over
time. The fourth section introduces the theoretical model and explains the
methodology used for this study. The fifth section discusses the data used in
the research. In the sixth section, the results obtained are presented and
analyzed. Finally, in the seventh section, the main conclusions derived from
this study are summarized.
Rice cultivation and value chain in
Chile
Rice cultivation
in Chile dates back to 1925, although it only acquired comercial relevance a
few decades later. The introduction of this crop made it possible to take
advantage of an extensive area of soils previously considered marginal, as they
lacked viable alternatives for agriculture. This allowed a more intensive use
of these soils and offered a more favorable economic option (17, 33). Currently, the national area dedicated
to rice cultivation is concentrated in the central-south zone of Chile, with
Maule and Ñuble being the most relevant regions. In the last decade, the
cultivated area has oscillated around 24,000 hectares, with a peak of 29,500
hectares in the 2017/18 season and a mínimum of 20,700 hectares recorded in the
2021/22 season. This has resulted in an average of 83,368 tons of rice
available for human consumption and yields of 53% for milled rice or rice
available for human consumption.
The internal
value chain comprises producers, processors, importers/distributors, and
retailers. Producers or farmers are concentrated mainly in the Maule and Ñuble
Regions. According to the 2007 Agricultural Census, there are about 1,500 farms
dedicated to rice cultivation, with slightly fewer farmers involved in this
activity. Notably, most of these farms, specifically more than 70%, have
cultivation areas that do not exceed 50 hectares. This reflects that rice
production in Chile mainly comprises small and medium-scale farmers.
On the other
hand, only a small percentage, approximately 1.6%, has a farm size that exceeds
500 hectares (33). The national
processing industry comprises companies that acquire raw materials through
long-term contracts or spot purchases directly from farmers. These companies
usually have reception, storage, and processing plants located in the communes
of the Maule and Ñuble regions, where rice production in the country is concentrated.
Some of these companies also play an essential role as importers and wholesale
distributors in the Chilean rice market. The rice importing and distributing
sector in Chile comprises companies that play a crucial role in the supply
chain of this product in the country. These companies import rice from
countries such as Argentina, Uruguay, and Paraguay to meet domestic demand (36). In addition to importing, these companies
handle the wholesale distribution of processed rice ready for consumption in the
Chilean market. The retail sector in the rice supply chain in Chile is composed
of companies engaged in the retail marketing of rice products directly to
consumers. Approximately 70% of rice sales in Chile are estimated to be
concentrated in these retail companies, including supermarket chains,
hypermarkets, and convenience stores (33).
It investigates
the differences in production costs, particularly those due to technical and
allocative inefficiencies between ownership, leasing, and mediation regimes among
rice producers in Chile. In the next section, a brief description of Chile’s
agricultural land tenure system will be provided, and its evolution over time
will be analyzed. This will serve as a context for understanding how different
ownership regimes can influence production costs and efficiency in rice
cultivation in the country.
Agricultural
land tenure in Chile
Before the
1967-1973 agrarian reform, the predominant tenure structure in Chile was the
latifundio-minifundio system, constituted by relations of dependence between
landowners and peasants and characterized by a strong hierarchy and coercion,
like the European manorial system, but lacking legal ties over land ownership (16). The tenancy relationship was the main link
between an employer and his workers. It consisted of a contract through which
the employer ensured stable labor in exchange for meeting the basic needs of
his tenants. This contract passed from generation to generation, along with the
inheritance of the land from the master to his relatives. The precarious
working conditions at the time caused a massive exodus of workers to cities in
search of better opportunities. This, together with the unequal distribution of
land, which limited the productive expansion of the sector, and the social
pressure and economic crisis at the time triggered the agrarian reform, aiming
to improve land distribution and put an end to the latifundio-minifundio
system. Thus, in 1962, the first agricultural reform law was passed, which made
it possible to redistribute state lands among peasants and organize fiscal
institutions to reform the countryside (16).
This process was further intensified during the Popular Unity (Spanish: Unidad
Popular, UP)1 government from 1970 to 1973. It represented the
massive redistribution of 9 million hectares of land to peasants, on legal and
institutionally backed conditions (46).
However, in 1973, the military government initiated the gradual restitution of
a portion of the confiscated lands and the sale of some of the properties with
legal problems through the so-called agrarian counter-reform. This process was
not free of political, civil, and economic tensions.
1The Unidad
Popular was a left-leaning political coalition in Chile that supported the
successful candidacy of Salvador Allende in the 1970 presidential elections.
Currently,
several agricultural land tenure systems coexist in Chile, varying in contract
formality. According to the latest Agricultural Census, the most common forms
of land tenure in Chile are:
- Ownership
with a registered title: Land over which the producer has possession and is
covered by a title registered in the Real Estate Registry.
- Ownership
without title (irregular): Land the farmer exploits as owner without a
registered title deed. It includes those coming from de facto divided
inheritances, irregular sales without being adequately registered, those
obtained de facto by exchange with irregular title, those assigned by public
entities without regularizing their title, etc.
- Royalty: Land the farmer
uses as payment for services rendered as manager, laborer, or other employment
relationship.
- Leased: Land available
to the farmer for use in his operation under a lease contract. As agreed with
the landowner, he pays an annual rent for the land in cash, agricultural
products, or a combination of both.
- Sharecropping:
Land
used by the producer - independent mediator - in which the owner is remunerated
with part of the production obtained, either in kind or its equivalent in
money, following the conditions established by the parties.
- Ceded: Land used by the
producer, which was voluntarily given to him by some person and for the use of
which he makes no payment.
- Occupied: Public or
private land used by a producer without the consent of the legitimate possessor
and payment.
As agreed with the landowner, he pays an annual rent for the
land in cash, agricultural products, or a combination of both; sharecropping,
land received as a royalty, ceded land, and occupied land, the latter
corresponding to public or private land used without owners’ consent. According
to the share of owned, leased, and sharecropped land in the national total,
65.4% of agricultural land is owned, 8.5% is leased, and only 1.5% is
sharecropped. Despite the low national share of the latter, both arrangements
are relevant in some regions. For example, 24.3% of the leased properties and
43.5% of the properties under mediation are located in Maule, Ñuble, and Bíobío
regions (20). This is due to different
reasons: first, Maule and Ñuble Regions are two of the country’s main
agricultural production areas, strongly influencing the number of leasing and
sharecropping contracts (21) and second,
landholdings in these regions, mainly Ñuble, the region of interest, are
smaller relative to the national average (34).
Due to the
inherent nature of farming, access to finance is often linked to the use of
land as collateral. In this context, farmers operating smaller farms often face
limitations in accessing financial resources. This suggests the need to
consider more efficient alternatives, such as tenure systems based on leases
and sharecropping, specially designed for small farmers, to compensate for the
scarcity of resources (40, 41). The
latter makes up the focus of this study, i.e., analyzing the differences
in farm efficiency levels, according to the type of tenure arrangement.
Model
This study uses
the primal system approach proposed by Schmidt et al.
(1979) and extended by Kumbhakar et al. (2006)
to identify and measure technical and allocative inefficiencies for a sample of
Chilean producers. This approach consists of a production function and
first-order conditions of the cost minimization problem. It is algebraically
equivalent to the cost system of the self-dual production function (27), but it starts from a parametric production
function rather than a cost function.
Consider a
Cobb-Douglas production frontier with j inputs, as proposed by Battese et al. (1988).

where:
y = denotes output
xj = jth input
aj = are technology
parameters to be estimated
v = a random error
term capturing events beyo nd farmers’ control, which is independently and
identically distributed.
u= a non-negative
term capturing persistent technical production inefficiency, independently and
identically distributed as
.
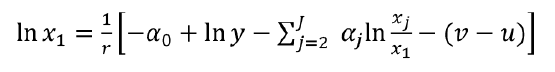
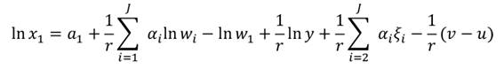
Expressing equation (1) in terms of In x1
we obtain,

where:
are the returns to
scale. Equation (2) can be seen as a
function of input distance. Following to Kumbhakar et
al. (2020); Musau et al. (2021) and Schmidt and Lovell (1979), the first order conditions of
the cost minimization problem are2:

2Input ratios can
be treated as exogenous since they are a function of prices (exogenously
given).
where:
PM xj = the marginal
product of xj and wj is the price of input j. The term
represents the inefficient allocation of input
j relative to input 1, the numeraire. Given linear Price homogeneity, it
is only possible to estimate negative inefficiency. So, input must be numeraire
to identify (6). Then, if
there will be an underutilization of input j
relative to input 1, while if
will be overused relative to input 1. Using
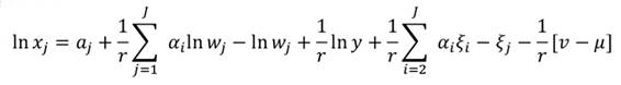
logarithms for the first-order condition (3),

Then, using the
distance function (2), equations (3, 4) derived from the first-order conditions,
and solving for xj, the following input demand functions can be obtained
logarithmically,


where:

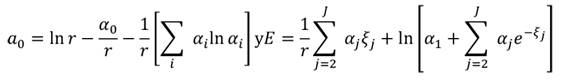
The production
cost function can be obtained from the input demands, taking the following form

where:

As pointed out
by Kumbhakar et al. (2006), Musau et al. (2021) and Vasconcelos
(2020), the impact of technical and allocative inefficiency on production
costs can be obtained by comparing the cost function with and without
inefficiencies. In the cost function, technical inefficiency increases costs by
, while allocative inefficiency increases them
by 100(E - Inr)%. When there is no
inefficient input allocation, i.e., when
,
the E and In r terms are equal. Moreover, there is an inverse
relationship between the firm’s returns to scale (r) and both
inefficiencies. More productive firms should also be more efficient in
production and input allocation.
Data
This study uses
a balanced panel of 107 rice producers from Ñiquén and San Carlos communes in
Ñuble Region, Chile. Data were collected by the Agricultural and Livestock
Research Institute (INIA for its acronym in Spanish), particularly, the
Technical Assistance Program (SAT, for its acronym in Spanish) from 2014 to
2015. They provide information on yield (kg), output value (CL$), land use
(ha), production costs (CL$), public and private infrastructure, and farmer
characteristics. Following the methodology described by Alem
et al. (2018) and Henderson (2015), the
prices of the inputs used in this study were collected from secondary sources.
Prices per man-day (MD) reflect wages for hired labor, the machinery cost is
measured in CLP per hectare, and the price of land (ha) corresponds to the
equivalent lease’s market value, representing the opportunity cost. These price
data were obtained from the Chilean Ministry of Agriculture’s Office of
Agricultural Studies and Policies (ODEPA, for its acronym in Spanish),
guaranteeing their reliability and relevance to the country’s agricultural
context. For other inputs (seeds, fertilizers, and pesticides), the Consumer
Price Index (CPI) was used, as suggested by Musau et
al. (2021). Prices are expressed in Chilean pesos (CL$) for 2014.
Table
1, shows summarized statistics of the production cost structure and factor
prices per kg of output. Labor costs are the lowest and fluctuate between $5.84
and $70.60, with an average of $20.80.
Table
1. Descriptive statistics of production
costs and input prices.
Tabla 1. Estadísticas
descriptivas de costos de producción y precios de insumos.

Machinery, other
inputs, and land average about $40 and $43 per kg of rice, dominating 86% of
the overall cost structure. As expected, the price per hectare of land is the
highest, followed by the price per hectare of agricultural machinery and the
price per man-day. For estimating the stochastic production frontier, one
output and four input variables were used. Total output was measured in
kilograms of rice, land in hectares, labor in MD, machinery in hectares, and
the other inputs (seeds, fertilizers, and pesticides) in thousands of Chilean
pesos as of 2014.
Table
2 shows the summarized statistics of the variables used in the production
function. In terms of output, the maximum production level reached 141 tons in
2015, representing a 68% drop, compared to the maximum in 2014.
Table
2. Descriptive statistics of output and
inputs.
Tabla 2. Estadísticos
descriptivos de productos e insumos.

On average,
there was also a significant drop, albeit less pronounced, in the production
level, falling back by 9.1%, compared to the previous figure. This result is in
line with the decrease in the total area cultivated with rice in Ñuble Region,
which fell by 18% in 2015, compared to 2014 (32).
Land use and agricultural machinery also show significant drops of 9.1% and
37.5% on average between periods, respectively. The decrease in machinery use
may reflect a capital investment drop, which is in line with the decline in the
rice area. In contrast, the number of man-days and the cost of other inputs,
considering expenditure on seeds, fertilizers, and pesticides, increased by
about 3% in 2015.
Regarding
technical and allocative inefficiency cost determinants, annual averages were
calculated for each determinant as a model was estimated by assuming persistent
technical inefficiency. This arrangement makes sense because the panel is small
and few observations demonstrate variation between the relevant years. The
estimations were adjusted to account for these observations (41). Table 3, shows descriptive
statistics for variables related to farmers’ characteristics, public
agricultural infrastructure, and land tenure systems.
Table
3. Descriptive statistics determining
allocative and technical inefficiency costs.
Tabla 3. Estadísticas
descriptivas determinantes de los costos de ineficiencia técnica y de
asignación.

Educational
level was represented by a categorical variable, as follows: No education (0),
incomplete primary education (1), complete primary education (2), incomplete
secondary education (3), complete secondary education (4), incomplete tertiary
education (5), and complete tertiary education (6). Only one farmer claimed to
have completed college education, whereas more than 75% of the farmers said they
had only completed their primary education. The difference between the
administration date of the survey and the start of business operations in the
rice industry served as the unit of measurement for farmer experience, which
was expressed in years. Farmers said they had been producing rice for an
average of 12 years; the farmer with the least experience said they had been
doing it for two years, while the farmer with the most said they had been doing
it for 35 years. The percentage of total agricultural land set aside for rice
farming reflects specialization. Farmers in the study devote an average of
50.8% of the land to this crop. Concerning access to water, a dummy variable
was created, assuming a value of 1 when the farm is supplied from a rainwater
reservoir and 0 otherwise. On average, 43% reported access to water from a
pool. Finally, on land tenure systems, 44% of the farmers report working the
land by sharecropping and just under 20% report renting the land.
Results
and discussion
Table
4 shows inefficient allocation parameters
for land, labor, and other inputs relative to
machinery by land tenure type.
Table 4. Estimates
of inefficient allocation by inputs and tenure.
Tabla 4. Estimaciones
de asignación ineficiente por insumos y tenencia.

Results suggest
that, on average, none of the inputs is used optimally and there is inefficient
allocation. On an input basis, land shows the highest inefficiency level, with
an
three times higher than optimal across all
tenure types, revealing a high degree of under-utilization, relative to
,
thus indicating efficient input allocation. In labor, this situation is also
observed, but to a lesser extent, fluctuating between 23% and 33%. On the other
hand, other inputs are the only over-utilized factor, with a parameter between
0.617 and 0.638. This result may be associated with the high fertilizer and
soil preparation costs incurred by farmers to mitigate the impact on
productivity due to weed proliferation. Assessments in the Ñuble Region
determined average yield losses of up to 30% due to poor weed control (38).
Concerning land
tenure, on average, landlords are the most inefficient input allocators, while
sharecroppers are the least inefficient. This finding is generally not supported
by empirical literature. Bolhuis et al. (2021),
Chen (2017) and Chen et
al. (2022), found that greater access to land rental markets via land
titling programs would significantly contribute to reducing the inefficient
allocation of productive factors. However, some theoretical and empirical
contributions provide insights that may aid in explaining this result. Authors
such as At et al. (2019), Jacoby et al. (2009), Jamal
et al. (2009), Pi (2013), argue that
sharecropping efficiency, compared to other land tenure arrangements, can be
conditioned by the landowner’s monitoring efforts, benefits division, and
landholders’ external choices. In other words, sharecropping can be expected to
be more efficient because the interests of both sides in sharing benefits make
monitoring closer and more effective. These two characteristics are not
observed in the sample, but there is educational information from the farmers
that could be associated with access to external options for income generation.
In our sample, sharecroppers have, on average, a lower schooling level
(incomplete secondary) than tenant farmers (complete secondary). This
characteristic may be a sign of greater dependence on rice cultivation for
income generation, fewer external options, and, thus, greater commitment to
devote more time and effort to rice production. This effect does not
necessarily hold for other tenure modalities. For example, in cases of lease or
land ownership, when the farmer needs to hire workers at a fixed rent,
regardless of performance, there may be less incentive for productivity as wage
needs to be indexed to performance. This is not the case in a sharecropping
arrangement as each party’s income is a fraction of the total benefits, a function
of their effort.
From equation (7), it is evident that inefficient input
allocation will negatively impact production costs. This impact was estimated
using these results and technical inefficiency estimates from the input
distance function (2). Table
5, shows the average cost to produce 1 kg of rice under different
inefficiency constraints.
Table
5. Average production cost per kg under
different inefficiencies (CLP$).
Tabla 5. Costo
promedio de producción por kg bajo diferentes ineficiencias (CLP$).

As expected,
sharecropping farms show the lowest production costs on average, i.e.,
13.5% lower than leased farms and 3.4% lower than owned farms. Using
totelling’s Generalised T-squared tests of means, both the cost of technical
inefficiency and allocative inefficiency were found to be significantly
different than zero at 1%. Ignoring these costs could lead to underestimating
actual farm production costs, regardless of tenure arrangement. Results
indicate that economic inefficiency costs exceed frontier costs by 82% in the
three tenure arrangements. This percentage is higher, compared to estimates
reported for grain production in Norway (3)
and China (46), and lower than estimates
for Indonesia (4). On average, 74% of economic
inefficiency is attributable to technical inefficiency (61% absolute) and the
remaining 26% to allocative inefficiency (21% absolute), i.e., most cost
inefficiency is associated with long-term rigidities that are external but
affect farm management (9, 29). Both
inefficiencies turn into a production cost increase per kg of rice. In line
with results in table 4, sharecropping shows the lowest monetary cost
inefficiency ($77.8), followed by landowners ($80) and tenants ($88.6). These
differences can be partly explained by the fact that sharecroppers have
frontier costs that, on average, are 7.5% lower than the other tenure
arrangements, but mainly because they have lower inefficient allocation costs
due to input misallocation (table 4). The latter may be
related to monitoring efforts, benefit sharing, and sharecroppers’ eventual
lower access to external income sources.
This perspective
raises an interesting explanation for the potential benefits of sharecropping
as a more efficient production organization system compared to land ownership
and leasing systems, especially from a wage point of view. One of the critical
aspects is that sharecropping is based on a performance-linked incentive
system, in contrast to the time-based compensation that is more common in land
ownership and leasing systems. In sharecropping, workers have a greater
incentive to deploy additional effort and perform all necessary tasks more
efficiently, which can reduce or even eliminate the need for supervisory costs
typical in wage labor systems. In addition, sharecropping can be a viable
alternative when there are labor shortages or financial difficulties in paying
wages. This is because sharecropping arrangements often involve a more
equitable sharing of risks and rewards between the landowner and the farmer,
which can benefit the farmer and the farm from an economic perspective. From a
temporal perspective, it is also important to consider that in agricultural
production, there are stages or cycles in which the marginal productivity of
labor may be lower than the wage paid, which would not be economically optimal.
Sharecropping can mitigate this problem by encouraging greater labor intensity
relative to other contracting systems, which could improve farm economic
performance (8).
In summary,
sharecropping may offer economic and efficiency advantages in the organization
of agricultural production, especially in comparison to land ownership and
leasing systems, due to its performance-based incentives and its ability to
adapt to variable situations in agriculture.
Table
6 shows the results of Welch’s mean difference test for inefficiencies,
according to tenure agreement.
Table
6. Mean difference test.
Tabla 6. Prueba
de diferencia de medias.

The first column
indicates no statistically significant differences in technical cost
inefficiency among lease, sharecropping, and ownership. However, there are
significant differences between 1% at allocative inefficiency and total
inefficiency (columns 2-3). These results suggest that time-invariant
structural and institutional factors affect farm management across farm tenure
types. Those differences in efficiency may be related to farmers’ ability to
allocate inputs efficiently. At least in this sample, this ability would be
related to tenure type.
Figure
1 shows the kernel density distributions of both types of inefficiency.
(a) shows the kernel distribution of technical
inefficiency costs; (b) shows allocation inefficiency costs.
(a) muestra la distribución
kernel de los costos de ineficiencia técnica; (b) muestra los costos de
ineficiencia en la asignación.
Figure 1. Cost
inefficiency distribution, according to property tenure.
Figura 1. Distribución
de la ineficiencia de costos, según tenencia de la propiedad.
In the left-hand
panel, the resulting distributions reveal that technical inefficiency scores
are skewed to the right for each tenure arrangement. This is confirmed by the
0.403,1.235, and 1.196 skewness coefficients for leasehold, sharecropping, and
ownership, respectively. The three distributions look similar, having a high
score density, with 92% of the farms located between 0.55 and 0.65. In the
right-hand panel, allocation inefficiency distributions for leasing and
sharecropping are asymmetric to the right, with coefficients of 0.304 and
0.373. At the same time, owners show an asymmetric distribution to the left
with a -0.382 coefficient. Sharecropping shows a high density towards lower
inefficiency scores than the other distributions. Particularly, 87% of the
farms are between 0.18 and 0.21.
Empirical
results for the monetary cost determinants of technical and allocative
inefficiency are shown in table 7.
Table
7. Cost determinants of technical and
allocative inefficiency.
Tabla 7. Costos
determinantes de la ineficiencia técnica y de asignación.

Standard errors in parenthesis. *, **, and *** indicate statistical significance at 10%, 5% and 1%,
respectively.
Errores estándar en paréntesis. *, **, y *** indican significancia estadística al 10%, 5% y 1%,
respectivamente.
Columns (1) and
(4) show that leased land has significantly higher technical and allocative
inefficiency costs than owned land (baseline). Regarding sharecropping, the
results indicate that this tenure arrangement is statistically more
cost-efficient than the ownership system, consistent with previous findings.
This efficiency could be related to the fact that sharecropping is based on a
contract in which the sharecropper’s salary is linked to the farm’s performance
and, in many cases, is made in kind. Therefore, the sharecropper’s earnings are
directly related to his performance. This relationship between performance and
profits in sharecropping can foster greater efficiency in resource allocation,
as both the owner and sharecropper have a shared interest in maximizing farm
productivity. Combining the landowner’s experience and knowledge with the
sharecropper’s labor could result in greater efficiency than other land tenure
systems.
The estimated
coefficients for the land variable suggest that more extensive landholdings are
more inefficient, the relationship being non-linear, but decreasing. Although
not significant, this result is in line with other findings for the
agricultural sector (15, 30, 43). The
specialization coefficient indicates that farmers who allocate a larger
proportion of the farm to rice production have significantly lower inefficiency
costs. As suggested by Jaime and Salazar (2011),
this result indicates that farmers who specialize in rice cultivation tend to
have some advantages in productivity, compared to farmers who diversify and
devote their land to other kinds of crops. Education is included in columns (2)
and (5) to control for farmer-level heterogeneities. Again, the sharecropping
coefficient is only significant in explaining allocative inefficiency costs.
The estimated coefficients for leasing and weeding decrease when compared to
the results in columns (1) and (4). In the first case, the drop is between 12.7%
and 24.9%, while in the second case, it is between 13.7% and 12.7%. This
indicates that when controlling for the farmer’s educational level, the tenure
arrangement’s effect tends to be more favorable in terms of inefficiency costs.
This finding could be related to the fact that better educated farmers have
better access to information on good agricultural practices, technical advice and
training programs, subsidies, or new production technologies, all of which have
a positive impact on efficiency. However, note that the education coefficient
is positive and statistically significant for the allocative inefficiency cost,
which is not expected but is in line with the findings of Henderson
(2015) and Vasconcelos (2020). It is reasonable to think that farmers with
higher educational attainment face higher opportunity costs in their occupational
choice and may see a reduced effort in rice production due to less reliance on farming
for income generation.
Columns (3) and
(6) include experience as a determinant of inefficiency cost and commune fixed
effects. In inefficiency costs, the coefficients for tenure arrangements change
slightly, implying that commune-specific market characteristics and imperfections
appear to be unimportant in driving the relationship between land tenure and
inefficiency costs. This result makes sense given that the communes of Ñiquén
and San Carlos are in the Ñuble region and only 33 km apart, implying that
there are unlikely to be significant differences in the land market, productive
infrastructure, accessibility to inputs, and employment opportunities that
contribute significantly to reducing technical and allocative inefficiency costs
in each land tenure arrangement.
Finally, it is
studied how rice production costs could change with an improvement in the
allocation of land input, using current costs as a benchmark. Table
8, partially reproduces the results of table 5 and
incorporates the estimated costs for different levels of inefficiency.
Table
8. Production costs under different levels
of inefficient land allocation.
Tabla 8. Costos
de producción bajo diferentes niveles de asignación ineficiente de la tierra.

Relative to
benchmark, a 40% efficiency improvement potentially reduces allocation costs by
40.8% for leasehold and ownership and by 41.2% for sharecropping. This leads to
an average decrease of 4%-5% in production costs and an increase of 17.8%,
11.2% and 12.9%, and in profits for leasehold, sharecropping, and ownership,
respectively. The last three rows of the table show costs when land allocation
is efficient relative to cash input. Costs of 1.5%-1.6% due to inefficient
allocation of labor and other inputs remain. This finding suggests that about
93% allocation costs are associated with deficiencies in land use, particularly
the underutilization of input relative to the numeraire. The potential impact
on profits is considerable. The leased land is the most favored with 49.1%
increase in earnings. On the other hand, sharecropping and ownership could
increase their profits by 25.3% and 29.8%, respectively. These results are
intuitive as they demonstrate the monetary impact of efficiency; allow us to
understand that there are significant differences depending on the land tenure
arrangement; and highlight the need for public policies encouraging the
efficient use of productive factors.
Conclusions
This paper
empirically investigated how agricultural land ownership, sharecropping, and
leasing regimes may affect production cost efficiency. For this purpose, a
sample of 107 rice producers from the Ñuble Region in Chile, observed from 2014
to 2015, was used, and a stochastic frontier model of costs was estimated using
the primal system approach. This allowed estimating misallocation measures for
productive factors, technical and allocative efficiency scores, and decomposing
production costs into three components: frontier costs, costs due to technical
inefficiency, and costs due to allocative inefficiency.
The results
revealed that, on average, inefficiency increases rice production costs by 82%.
Of this increase, 61% was attributed to technical inefficiency, while 21% was
due to costs due to allocative inefficiency. Regarding the latter costs,
statistically significant differences were found among the various land tenure
regimes. In particular, the sharecropping system stood out as the most
efficient, with production costs 13.5% lower than the rental system and 3.4%
lower than those of the ownership system.
The finding may
be connected to sharecropping’s potential benefits over land ownership and
leasing systems as a production organization system, particularly regarding
higher labor productivity and reduced labor and supervision costs. One of the
critical factors in this regard is that, in contrast to the time-based wage
that is more typical in land ownership and leasing systems, sharecropping in
Chile is based on a performance-linked incentive structure. Sharecroppers have
a higher incentive to exert more effort and complete all responsibilities more
efficiently, which can cut down on or do away with the costs associated with supervisión
that are typical in wage labor systems. This is because sharecropping
agreements frequently entail a more equitable distribution of risks and
benefits between the landowner and the farmer, which can benefit the farmer and
the farm from an economic perspective.
An additional
relevant finding is that, regardless of the land tenure regime, a public policy
that addresses the misallocation of the productive factor of land among farms
could potentially reduce up to 93% of the costs associated with inefficient
allocation per kilogram of rice. This would substantially impact farmers’
profits and, consequently, wealth generation in the rice industry. According to
estimates, improving land use efficiency would result in significant,
cross-sectional profit increases for all land tenure types.
This study
provides valuable data on the efficiency of rice production. It highlights
differences in cost efficiency levels according to land tenure type. It
suggests that these differences may be related to the potential of each tenure
system to ensure better farm yields. It also highlights the need for public
policies that promote a better allocation of productive resources for the whole
sector’s benefit. A limitation of this study is assuming that all farmers,
regardless of tenure type, have the same skills for working the land. In this
sense, relaxing this assumption could solve input misallocation by
redistributing them from less to more skilled farmers so that optimum marginal
productivities are equated. The latter could be a topic for future research on
the particular case of Ñuble Region in Chile.
1. Ackerberg, D.
A.; Botticini, M. 2000. The choice of agrarian contracts in early renaissance
Tuscany: Risk sharing, moral hazard, or capital market imperfections?
Explorations in economic history. 37(3): 241-257.
2. Ahmed, M.;
Billah, M. 2018. Impact of sharecropping on rice productivity in some areas of
Khulna district. Bangladesh Journal of Agricultural Research. 43(3): 417-430.
3. Alem, H.;
Lien, G.; Hardaker, J. B. 2018. Economic performance and efficiency
determinants of crop-producing farms in Norway. International Journal of
Productivity and Performance Management.
4. Asmara, R.
2017. Technical, cost and allocative efficiency of rice, corn and soybean
farming in Indonesia: Data envelopment analysis approach. Agricultural Socio-Economics
Journal. 17(2): 76.
5. At, C.;
Thomas, L. 2019. Optimal tenurial contracts under both moral hazard and adverse
selection. American Journal of Agricultural Economics. 101(3): 941-959.
6. Atkinson, S.
E.; Dorfman, J. H. 2006. Chasing absolute cost and profit savings in a world of
relative inefficiency. Technical report.
7. Battese, G.
E.; Coelli, T. J. 1988. Prediction of firm-level technical efficiencies with a
generalized frontier production function and panel data. Journal of
econometrics. 38(3): 387399.
8. Benencia, R.;
Quaranta, G. 2001. El papel de la mediería en el agro moderno. Producción de
leche y hortalizas en la Pampa Húmeda bonaerense. Revista Interdisciplinaria de
Estudios Agrarios. 15: 123-151.
9. Berisso, O.
2019. Analysis of factors affecting persistent and transient inefficiency of
Ethiopia’s smallholder cereal farming. In Efficiency, equity and well-being in
selected African countries. 199-228. Springer.
10. Bolhuis, M.
A.; Rachapalli, S. R.; Restuccia, D. 2021. Misallocation in Indian agriculture.
Technical report, National Bureau of Economic Research.
11. Chen, C.
2017. Untitled land, occupational choice, and agricultural productivity.
American Economic Journal: Macroeconomics. 9(4): 91-121.
12. Chen, C.;
Restuccia, D.; Santaeulàlia-Llopis, R. 2022. The effects of land markets on
resource allocation and agricultural productivity. Review of Economic Dynamics.
45: 41-54.
13. Coelli, T.;
Rahman, S.; Thirtle, C. 2002. Technical, allocative, cost and scale
efficiencies in Bangladesh rice cultivation: a non-parametric approach. Journal
of Agricultural Economics. 53: 607-626.
14. FAO. 2022.
Food outlook - biannual report on global food markets. https://doi . org/10.4060/cc2864en. Access 07-12-2022.
15. Gautam, M.;
Ahmed, M. 2019. Too small to be beautiful? The farm size and productivity
relationship in Bangladesh. Food Policy. 84: 165-175.
16. Gligo V.;
Nicolo. Universidad de Chile. Facultad de Ciencias Agronómicas. 2021. Reforma
Agraria Chilena: causas, fases y balance. Universidad de Chile.
https://bibliotecadigital.ciren.cl/handle/20.500.13082/32913
17. González, J.
2018. El cultivo del arroz. En Historia de Linares. Municipalidad de Linares,
Academia Chilena de la Historia. 663-669.
18. Henderson,
H. 2015. Considering technical and allocative efficiency in the inverse farm
sizeproductivity relationship. Journal of Agricultural Economics. 66(2):
442-469.
19. Houngue, V.;
Nonvide, G. M. A. 2020. Estimation and determinants of efficiency among rice
farmers in Benin. Cogent Food & Agriculture. 6(1): 1819004.
20. INE. 2007.
Cambios estructurales en la agricultura chilena, análisis intercensal
1976-1997-2007.
htps://www.ine.gob.cl/docs/default-source/censo-agropecuario/publicacionesyanuarios/2007/cambios-estructurales-en-la-agricultura-chilena---analisisintercens
al-1976-1997-2007. pdf?sfvrsn=9dfd0a74_7. Access
13-12-2022.
21. INE. 2022.
Síntesis agropecuaria encuestas intercensales 2021-2022. https://www.
ine.gob.cl/docs/default-source/siembra_y_ cosecha/publicaciones-y-anuarios/s%C3%ADntesis-agropecuaria/s%C3%ADntesis-agropecuaria---encuestas-intercensales-agropecuarias-2021-2022.pdf.
Access 13-12-2022.
22. Islam, M.
A.; Fukui, S. 2018. The influence of share tenancy contracts on the cost
efficiency of rice production during the Bangladeshi wet season. Economics
Bulletin. 38(4): 2431-2443.
23. Jacoby, H.
G.; Mansuri, G. 2009. Incentives, supervision, and sharecropper productivity.
Journal of Development Economics. 88(2): 232-241.
24. Jaime, M.
M.; Salazar, C. A. 2011. Participation in organizations, technical efficiency
and territorial differences: A study of small wheat farmers in Chile. Chilean
Journal of Agricultural Research. 71(1): 104.
25. Jamal, E.;
Dewi, Y. A. 2009. Technical efficiency of land tenure contracts in West Java province,
Indonesia. Asian Journal of agriculture and development. 6(1362-2016-107667):
21-33.
26. Kamau, P. N.
2019. Technical, economic and allocative efficiency among maize and rice
farmers under different land-use systems in east African wetlands. Technical
report.
27. Kumbhakar,
S. C.; Wang, H. J. 2006. Estimation of technical and allocative inefficiency: A
primal system approach. Journal of Econometrics. 134(2): 419-440.
28. Kumbhakar,
S. C.; Mydland, O.; Musau, A.; Lien, G. 2020. Disentangling costs of persistent
and transient technical inefficiency and input misallocation: The case of
Norwegian electricity distribution firms. The Energy Journal. 41(3).
29. Lien, G.;
Kumbhakar, S. C.; Alem, H. 2018. Endogeneity, heterogeneity, and determinants
of inefficiency in Norwegian crop-producing farms. International Journal of
Production Economics. 201: 53-61.
30. Masterson,
T. 2007. Productivity, technical efficiency, and farm size in Paraguayan
agriculture.
31. Musau, A.;
Kumbhakar, S. C.; Mydland, Ø.; Lien, G. 2021. Determinants of allocative and
technical inefficiency in stochastic frontier models: An analysis of Norwegian
electricity distribution firms. European Journal of Operational Research.
288(3): 983-991.
32. ODEPA. 2015.
Boletín del arroz. https://wWw.odepa.gob.cl/contenidos-rubro/
boletinesdelrubro/boletin-del-arroz-mayo-de-2015. Access 10-11-2022.
33. ODEPA. 2017.
La cadena del arroz en Chile.
https://www.odepa.gob.cl/wp-content/uploads/2018/02/ARROZ2018Final.pdf. Access
05-09-2023.
34. ODEPA. 2019.
Panorama de la agricultura chilena. https://www.
odepa.gob.cl/wp-content/uploads/2019/09/panorama2019Final.pdf. Access
13-12-2022.
35. ODEPA. 2020.
Arroz: temporada 2019/20 - 2020/21. https://bibliotecadigital.odepa.
gob.cl/bitstream/handle/20.500.12650/70425/Articulo-arroz.pdf. Access
07-12-2022.
36. ODEPA. 2022.
Boletín de cereales.
https://bibliotecadigital.odepa.gob.cl/bitstream/handle/20.500.12650/71857/BCereales082022
.pdf. Access 07-12-2022.
37. Okello, D.
M.; Bonabana-Wabbi, J.; Mugonola, B. 2019. Farm level allocative efficiency of
rice production in Gulu and Amuru districts, northern Uganda. Agricultural and
Food Economics. 7(1): 1-19.
38. Paredes C.,
M.; Becerra V., V.; Doñoso Ñ., G. 2021. Desafíos para el cultivo del arroz en
chile para la próxima década. https://biblioteca.inia.cl/bitstream/handle/20.500.14001/68052/Capitulo%20X.pdf?sequence=22&isAllowed=y.
Access 23-11-2022.
39. Pi, J. 2013.
A new solution to the puzzle of fifty-fifty split in sharecropping. Economic research
Ekonomska istraživanja. 26(2): 141-152.
40. Posada, M.
G. 1995. La articulación entre formas capitalistas y no capitalistas de
producción agrícola. El caso. Agricultura y Sociedad. 77: 9-40.
41. Quijada, F.;
Salazar, C.; Cabas, J. 2022. Technical efficiency, production risk and
sharecropping: The case of rice farming in Chile. Latin American Economic
Review. 31: 1-16.
42. Schmidt, P.;
Lovell, C. K. 1979. Estimating technical and allocative inefficiency relative
to stochastic production and cost frontiers. Journal of econometrics . 9(3):
343-366.
43. Sheng, Y.;
Ding, J.; Huang, J. 2019. The relationship between farm size and productivity
in agriculture: Evidence from maize production in northern China. American Journal
of Agricultural Economics . 101(3): 790-806.
44. Tasila Konja,
D.; Mabe, F. N.; Alhassan, H. 2019. Technical and resource-use-efficiency among
smallholder rice farmers in northern Ghana. Cogent Food & Agriculture.
5(1): 1651473.
45.
Troncoso-Sepúlveda, R. 2019. Transmisión de los precios del arroz en Colombia y
el mundo. Lecturas de Economía. 91: 151-179.
https://doi.org/10.17533/udea.le.n91a05
46. Vasconcelos,
J. S. 2020. Tierra y derechos humanos en Chile: la contrarreforma agraria de la
dictadura de Pinochet y las políticas de reparación campesina. Historia agraria:
Revista de agricultura e historia rural. 80: 209-242.
Note
The
research belongs to the Internal Project 2230332 IF/R, Universidad del Bío-Bío.