Revista de la Facultad de Ciencias
Agrarias. Universidad Nacional de Cuyo. Tomo 57(1). ISSN (en línea) 1853-8665.
Año 2025.
Original article
Remaining
in rural areas: towards a rural entrepreneur’s analysis framework
Quedarse
en las áreas rurales: Hacia un marco de análisis del emprendedor rural
Carlos Julian Ramirez Gomez1*,
Venancio Cuevas Reyes2,
Wyn Morris3
1 Universidad de Caldas. Departamento de Desarrollo Rural. Cl. 65
#26-10, Manizales Colombia.
2 Instituto Nacional de Investigaciones Forestales, Agrícolas y
Pecuarias. Área de Economía Agrícola. Av. Progreso 5 Barrio de Santa Catarina
04010 Ciudad de México.
3 Aberystwyth University. Aberystwyth Business School. Wales.
Penglais. Aberystwyth SY23 3FL. Reino Unido.
* cjulianmdr@gmail.com
Abstract
This research
employs an empirical approach to understand aspects defining why young people
remain in their rural territories. Utilising a rural region of Caldas, Colombia
as a case study and based on an agricultural education program for
entrepreneurship, information from 368 rural young people was obtained. The
study explored a conceptual model shaped by four dimensions and 34 variables.
Using a Probit method, we identify significant variables regarding permanence
in rural areas. We identify 11 key variables that determine the categories of
socio-demographic profile, profile of entrepreneur characteristics, and
category of motivations and territory. Our study contributes to literature on
rural entrepreneurship from an empirical approach. Additionally, we propose a
new analytical framework to address major problems in agriculture and rural
territories, particularly in developing countries, such as Latin America.
Keywords: rural
entrepreneurship, rural territories permanence, rural youth, entrepreneurship
educational programs
Resumen
Este artículo
emplea una perspectiva empírica para comprender los aspectos que definen por
qué los jóvenes permanecen en sus territorios rurales. Utilizando un estudio de
caso de una región rural de Colombia y con base en un programa de educación
agrícola para el emprendimiento, se obtuvo información de 368 jóvenes rurales.
El estudio exploró un modelo conceptual formado por cuatro dimensiones y 34
variables. Además, mediante un método Probit buscamos identificar las variables
significativas sobre la permanencia en el área rural. En los resultados
demostramos la existencia de 11 variables clave como determinantes en las
categorías de perfil sociodemográfico, perfil de características del
emprendedor y categoría de motivaciones y territorio. Nuestro estudio contribuye
a la ampliación de la literatura sobre emprendimiento rural, desde un enfoque
empírico y la propuesta de un nuevo marco analítico para abordar uno de los
problemas más relevantes del sector agrícola y de los territorios rurales,
especialmente en países en desarrollo como América Latina.
Palabras clave: emprendimiento
rural, permanencia en territorios rurales, jóvenes rurales, programas
educativos de emprendimiento
Originales: Recepción: 29/05/2024
- Aceptación: 03/12/2024
Introduction
The rural
population, especially in developing countries faces an environment that has
historically been characterized by certain restrictions on access to services,
markets, technologies, and other public goods, these factors provide challenges
for the design and promotion of public policies focused on the development of
rural areas (19). However, various
public policies and programs in developing countries aim to address these
challenges, such as policies supporting and promoting agribusiness through
strengthening strategies, financing, and marketing (35). There is
promotion of educational programs for skills development and learning with a
focus on the rural youth, and the promotion of entrepreneurship (18). These programs
intend to make territorial permanence more attractive and address the problem
of rural migration, especially youth migration (10).
In this sense,
rural entrepreneurship (RE) gains importance given its implications from the
productive, economic, social, and environmental point of view within rural
territories. Rural Entrepreneurship is an important strategy to promote rural
development. Entrepreneurship based on the sustainable use of local resources
for creating new economic activities can help reduce unemployment and poverty,
whilst generating alternatives for rural societies (11). Furthermore,
rural entrepreneurship promotion is seen as a strategy to enhance the rural
economy (26) and confront the migration problem of
rural youth. These strategies are focused on the diversification of the local
productive structure, value addition, the transition towards the service
sector, and consideration of territorial characteristics (5,
16).
In this study we
consider whether rural entrepreneurship is an exit or a result strategy, being
a product of the behaviour, characteristics and actions of the rural
entrepreneur as a promoter of the business project. Approaches on RE do not
necessarily put the entrepreneur at the centre of the process as a dynamic and
complex actor, with characteristics that could represent possible typologies of
the entrepreneur. Therefore, we conceptually and empirically contribute to the
research question: What aspects drive the rural entrepreneur to stay within the
rural territory? That is, we consider that it is not the permanence over time
of the business and the entrepreneurship project based on a set of strategies (22), but a greater
understanding of what allows the permanence of the person in their territory
and the vision they have of staying in the rural territory over time.
Despite rural
education programs in entrepreneurship, the reasons for entrepreneurs remaining
in the countryside might be the lack of better job alternatives, and the drive
for needs (14); advantageous
market opportunities (32), or certain
perceptions regarding institutional support (34). There is a need
to understand the role of the family, its historical perspective and its
entrepreneurial culture in influencing rural youth and their interests in
staying in rural areas. Therefore, it is necessary to identify what factors may
determine the desire to stay within the territory. In this sense, the objective
of this study is to determine the factors explaining the desire of rural
entrepreneurs to stay within the rural territory, based on an analysis of the
dimensions: Socio-demographic profile, Profile of entrepreneur characteristics,
Entrepreneurship skills, Motivations, and Territory.
Construction
of the conceptual and empirical model
In this study, we propose a conceptual model interrelating four
dimensions (table
1).
Table 1. Dimensions
and analysis variables of the conceptual model.
Tabla
1. Dimensiones y variables de análisis
del modelo conceptual.

The main output of the model is the interest of young rural
entrepreneurs in staying in their rural territory. The conceptual model is
determined by dimensions usually found separately within the literature.
Therefore, we propose their integration, generating a new conceptual model.
Previous literature considers incorporating the sociodemographic profile on
rural entrepreneurship analysis because sociodemographic variables have been positively
associated with entrepreneurial intentions of rural young people (4), as well as the
determination of innovative behaviour (28).
Secondly, for the
most effective design of public policies on the repopulation of rural
municipalities, the socio-demographic characteristics of rural entrepreneurs
must be explored, since they tend to leave their territory (9). Furthermore,
regarding the entrepreneurial characteristics dimension, our model proposes a
profile approach directly related to the analysis around the rural
entrepreneur’s desire in staying in the countryside. Therefore, we propose,
addressing aspects such as the entrepreneur’s interest in impacting their rural
and community environment, as well as impacting the use of local natural
resources (28).
Our conceptual
model considers the existence of two internal and external environments that
interrelate a set of perceptions and variables, these contribute to
understanding the desire of rural young people to stay in the countryside. The
dimension of capabilities of the rural entrepreneur is one of the most
addressed topics in the literature, a factor which we incorporate into the
conceptual model of analysis. Aspects such as management, creativity,
leadership, digital skills in rural entrepreneurship stand out as influencing
the entrepreneur in the identification and recognition of business ideas (12). Finally, we
include the integration of the motivation and territory dimension, based on a
set of key variables that allow us to understand if the rural geographical
space is a perceived viable environment by the rural entrepreneur to undertake
a certain project (23).
Materials
and methods
Study
area context
Caldas is in the Colombian coffee zone, is a region with 27
rural municipalities (figure
1).

Figure 1.
Study area.
Figura
1. Area de estudio.
In this region, the University of Caldas has led a
public-private alliance “The University in the Field and in the Territory”,
which carries out educational programs for rural youth allowing the development
of agricultural entrepreneurship capabilities, facilitating the people involved
to stay in their rural territories. In 2023, these educational programs
involved around 1,100 rural youth throughout the entire geographic study area.
This area is characterised by the influence of coffee production and industry,
with various agroclimatic conditions and productive systems, creating
entrepreneurship opportunities in agricultural, livestock, agro-industrial and
tourism.
The research
adopted a quantitative approach, with the data collection conducted in 2023. An
online survey was created, with four domains and 34 variables (table 1);
Socio-demographic profile, Profile of entrepreneur characteristics,
Entrepreneurship skills, and Motivations and territory. Through a list of 1,100
previous students from agricultural programs for rural youth, a random sample
of 368 people was obtained, which corresponds to a response rate of 33.45%. To
advance the process, all students were informed of the program, whilst also
attaching the form with the questions and the respective institutional letter
of invitation to participate in the study. The questions on the survey were
related to the proposed variables (table 1), in addition to various response options of nominal, ordinal,
and dichotomous nominal types (table 2).
Table 2. Description
of explanatory variables.
Tabla
2. Descripción de variables explicativas.

Method
of information analysis
Data Analysis was
carried out using a Probit model, which is a discrete choice model, where the
endogenous variable presents two alternatives 0 and 1 (1). In this way, the
dependent variable (Y) is related to the intention of rural youth to stay in
the countryside. For our analysis, two values were assumed: 1 if the rural
youth want to stay in the rural territory and 0 otherwise.
The econometric analysis in this study follows the stages
developed by Cuevas-Reyes
et al. (2020), and the theoretical underpinnings proposed by Aldrich
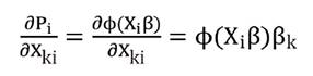
& Nelson (1984). The Probit model uses a normal cumulative distribution
function, where the probabilistic model is estimated by the maximum likelihood
method and obtains the marginal change. Furthermore, the marginal change of the
density function of the standard normal distribution is evaluated at a defined
point and the parameter to be evaluated (17), as expressed in equation 1.
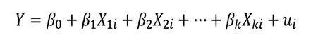
The empirical model that represents the dependent variable Y
(Staying in the field) and the independent variables (X) that influence the
decision to staying in the field, was the following:

where
Y = binary value
aggregation variable
β_i = coefficients to
be estimated
Xki = explanatory
variables of the model (table
1)
ui = stochastic error.
In addition, the
Wald test was used to evaluate paremeter individual significance. Overall
goodness of fit was assessed by the McFadden’s R2 and the LR statistic or
likelihood ratio. Finally, the results were obtained by using Data Analysis and Statistical package (2012).
Results
and discussion
Descriptive
statistics of socio-demographic profile
Based on the socio-demographic approach addressed in our study (table 3), the descriptive
statistics revealed that the tendency of rural youth to emigrate from rural
territories is greater (57.33%), despite the majority having agricultural
educational training at the technical level.
Table 3.
Descriptive statistics showing socio-demographic variables of rural youth.
Tabla
3. Estadísticas descriptivas a partir
de variables socio-demográficas del joven rural.

The population results at younger ages (14 to 17 years), were
similar across different areas of the rural geographic space. Therefore, it can
be highlighted that the percentages of rural young people who currently have a
business are lower, thus presenting a relationship with the low existence of
family businesses. However, in contrast, it could be stated that of the
percentage of young people who have active rural entrepreneurship (33.96%), the
preferred trend for forming the business is with the family itself (36.68%).
Against this, there is evidence that the local rural roots of family businesses
can generate localized advantages and the construction of links that influence
the desirability of forming these types of ventures (3).
Econometric
model
The results of the econometric model reveal that of the total
variables analysed, 11 of them are statistically significant (p<0.5) in
relation to the four analysis dimensions of our model (table 4).
Table 4. Variables
that influence the probability of staying in rural territory.
Tabla
4. Variables que influencian la
probabilidad de quedarse en áreas rurales.

Own elaboration, dy/ dx is the
marginal effect of the variable x on the dependent variable y; dy/dx
significance level: P<0.05*; P<0.1**, and P<0.001***. Pseudo
R2=0.3362.
Elaboración propia, dy/ dx es el
efecto marginal de la variable x sobre la variable dependiente y; nivel de
significancia dy/dx: P<0,05*; P<0,1**, y P<0.001***. Pseudo R2=0,3362.
The gender variable (x1) was significant at 90% (p<0.1) but
with a negative sign, meaning that the probability of staying in the territory
decreases by 11.7% if the gender is female compared to male. In addition, the
rural geographic location variable (x5) was also significant at 90%, therefore,
if the rural youth is located far away from the rural municipality, then their
probability of remaining in the rural territory is 6%. The results reveal that
the duration of entrepreneurship (x7) related to the agricultural sector was
statistically significant (p<0.05), which means that those rural young
people who have been involved with a rural project for the longest period have
a probability of permanence in their rural territories of 13.2%. Likewise, the
conformation of entrepreneurship (x8) was significant (p<0.05), which
implies that it is a determining variable of the socio-demographic profile for
the interest of young people to stay in their rural territories. However, the
result expressed a negative sign compared to the marginal effect of the
variable (x8) on the dependent variable of the model.
Therefore, the
probability of remaining in the territory for young people can decrease by 6%
if the enterprise is formed within a family that may prefer to initially
undertake the enterprise individually compared to doing so in other forms of
groupings. When analysing the entrepreneur’s characteristics profile, four key
variables stand out as significant regarding the interest of rural young people
in staying within their territories. Therefore, young people’s interest in
rural entrepreneurship (x9) stands out as a significant variable (p<0.05)
with a 16.5% probability of staying in the territory. Likewise, rural entrepreneurship
is seen to impact the local and community environment (x10), it is a variable
that was found to be significant (p<0.05) and a probability of youth
permanence of 20.7%. Within this second component of the analysis model,
variables are significant (p<0.05), such as the interest in participating in
training (x12) and the interest of rural entrepreneurship in the impact on the
environment and natural resources, both with their respective probabilities
regarding the permanence of young people in their rural territories.
Finally, our
results reveal three key and statistically significant variables in the
motivations and territory component. Initially, where the rural youth lives is
a motivating factor to stay in the countryside (p<0.5). In addition, the
perception of prestige and reputation of the rural municipality (x32) showed
significance (p<0.5) and a negative sign. This implied that the place where
the young person lives and its perception are key aspects since the probability
of the young person remaining in that territory can decrease by 26% if the
issue of local reputation is not well perceived. This has implications for
training and support programs for rural entrepreneurship in certain rural
regions. Additionally, within this component of motivations and territory, our
results highlight the perception of the entrepreneurial personality of the
inhabitant population of the rural municipality (x33). This variable emerges as
highly significant (p<0.5) and the highest percentage probability on wanting
to remain within their territory (38.1%). Therefore, this variable highlights
the importance of what can be considered a local entrepreneurial culture as a
factor that drives rural youth’s interest in staying within their region, since
various entrepreneurial people can make use of the local culture and its
tradition of activities to seek to potentialize their ideas (29).
Model
determining variables
Our results allow us to interpret that eleven variables
influence the interests of rural young people in wishing to remain within their
territories. These are based on our proposed dimensions apart from entrepreneurship
skills (table
5).
Table 5. Dimensions
and determinant variables of the model.
Tabla
5. Dimensiones y variables determinantes del modelo.

Our model contributes to the discussion of expanding the
understanding of phenomena associated with rural entrepreneurship. However, we
also hold the critical position that, the issue of rural population migration
to cities has not received the deserved attention in the research literature
and requires further empirical studies (9).
The categories and
variables determining the permanence of rural youth in their territory based on
entrepreneurship can be divided into an internal environment such as the
dimensions of the profile and skills for entrepreneurship, as well as an
external environment based on what determines the territory as a motivational
factor. From an interrelation of both environments, our study disproves the hypothesis
according to which the promotion of rural education programs for
entrepreneurship constitutes a strategy that ensures the territorial permanence
of rural youth as they can develop or strengthen capacities for
entrepreneurship. In fact, according to the approaches of Galvão et
al. (2020), educational programs for entrepreneurship are decisive for the
rural population since they contribute to the involvement and local interaction
of actors, generating a support ecosystem that facilitates the entrepreneur’s
action. However, in our study, the perception of institutional support and
conditions of greater access to knowledge did not emerge as key variables. This
could explain the interest of young people in staying within rural regions.
Regarding the role of the family, the consideration of gender is an issue that
cannot be ignored in the context of rurality. Our survey highlighted the
highest percentage of female respondents. As Sidhu & Kaur (2006) propose, rural
entrepreneurship is more beneficial for the current and multifunctional role of
women, both for their function within the social system as generators of family
income and their decision-making capacity in the family environment (15).
Additionally, our
study presents results related to the profile characteristics of the rural
entrepreneur, where four key variables are prominent. Our results are related
to the approaches of Shivacharan et al. (2017), who highlight the
importance of variables such as the interest of entrepreneurs in participating
in training, which is related to a person with a tendency to search for
information. Based on our results within the profile of characteristics of the
entrepreneur, we agree that there is a tendency towards rural entrepreneurship
to be seen as a vector of territorial development and a search for local
sustainability in rural municipalities and a concern for the area (7,
20, 21). Therefore, we agree with educational programs in rural
entrepreneurship strongly focusing on the role played by both the local place
and the community (36). This means that
the development of entrepreneurship capabilities by rural young people
constitutes a factor of permanence, and implies the interrelation of other
dimensions, such as the territorial dimension.
From the external
environment of the rural entrepreneur, the perspective of the
spatial-geographic role has been widely discussed in the scientific literature.
However, few approaches associate the territorial issue with the permanence of
the youth population from a vision of entrepreneurship especially in developing
countries, even in Latin America. In this sense, considering motivations and
territory, our results identify three key variables for analysing the model
proposed in our study. The relationship between motivations and territory is
important, as discussed by Modrego & Foster (2021), there are
idiosyncratic territorial issues specific to rural entrepreneurship, which
influence the perceptions of entrepreneurs and their possible decision-making.
In fact, this geographical spatial dimension is considered an important element
in the field of business culture compared to what is implied by the existence
of visible success stories in the local area, which can motivate people to
become rural entrepreneurs (32). This work is
related to our results, which include variables associated with the perception
of a local business mentality, and what the rural municipality implies as a
motivating factor for the permanence of rural youth within. It could also be
associated with the level of roots within the territorial culture (8).
Most studies do not consider the perception that young rural
entrepreneurs have of their own municipal territory. However the study by Fanjul et
al. (2023), refers to the existence of rural municipalities that can
attract local people, and even neighbouring inhabitants, to the development of
companies, which implies the importance of the geographical environment.
Finally, our model shows the relevance of the interrelation of dimensions and
environments, as even when rural young people have entrepreneurial skills,
other aspects promote permanence in the territories. For this reason, this type
of rural youth likely embodies certain local values and a sense of rurality,
including the possibility of creating a local impact from their activity. There
may be experiences not only of business development but also based on resource
management, cultural and natural, where in the territory there is a tendency to
build natural capital based on a certain sensitive perception about the interaction
with the biophysical space (25).
Conclusions
Undoubtedly, the
agricultural sector in developing countries, such as Latin America, faces
numerous challenges and problems. Many of them are generated by the effects of
the global and commercial environment, as well as by internal factors of the
countries which have contributed to a declining situation for the sector. One
of the most concerning problems is the migration of the young rural population
towards urban and more densely populated areas. In response, countries such as
Colombia have promoted a broad set of public policies, among which the
implementation of agricultural educational programs stands out to strengthen
the entrepreneurial capacities of this rural population. In addition, some
public and private programs seek to financially support the emergence of rural
enterprises.
However, the topic has not yet been sufficiently addressed in
the literature, which constitutes the main contribution of our study. In this
sense, we propose an analysis model of the rural entrepreneur, which seeks to
understand the aspects that determine the interest of rural young people
wanting to stay within their own rural territories. Furthermore, our findings
contribute to a gap in the empirical analysis within the growing literature on
rural entrepreneurship, where most studies present purely theoretical and
conceptual approaches. We propose a conceptual model of analysis in which
variables that relate an internal and external environment of the rural
entrepreneur are considered. Furthermore, we consider several research
opportunities on typology of rural entrepreneurs interested in developing a
lifestyle within their rural territory. Finally, we consider that in the
external environment of motivations and territory, the role of network links
from rural entrepreneurs can be empirically explored, even between local actors
at a meso level. However, not associated with entrepreneurship itself or
business performance, but with the problem related to rural migration and the
motivations for the entrepreneur to live within their rural environment.
1.
Ai, C.; Norton, E. C. 2003. Interaction terms in logit and probit models.
Economics Letters. 80(1): 123-129.
2.
Aldrich, J.; Nelson, F. D. 1984. Linear probability, logit, and probit models.
(45).
3.
Baù, M.; Chirico, F.; Pittino, D.; Backman, M.; Klaesson, J. 2019. Roots to
grow: Family firms and local embeddedness in rural and urban contexts.
Entrepreneurship Theory and Practice. 43(2): 360-385.
https://doi.org/10.1177/1042258718796089
4.
Bouichou, E. H.; Abdoulaye, T.; Allali, K.; Bouayad, A.; Fadlaoui, A. 2021.
Entrepreneurial intention among rural youth in Moroccan agricultural
cooperatives: The future of rural entrepreneurship. Sustainability. 13(16):
9247. https://doi.org/10.3390/su13169247
5.
Cazzuffi, C.; Fernández, J. 2018. Rural youth and migration in Ecuador, Mexico
and Peru. En Documento de trabajo Programa Jóvenes Rurales, Territorios y
Oportunidades: Una estrategia de diálogos de políticas. RIMISP. Chile. (Vol.
235).
6.
Cuevas-Reyes, V.; Sánchez Toledano, B. I.; Servín Juárez, R.; Reyes Jiménez, J.
E.; Loaiza Meza, A.; Moreno Gallegos, T. 2020. Factores determinantes del uso
de sorgo para alimentación de ganado bovino en el noroeste de México. Revista
Mexicana de Ciencias Pecuarias. 11(4): 1113-1125. https://doi.org/10.22319/rmcp.v11i4.5292
7.
Dal Bello, U.; Marques, C. S.; Sacramento, O.; Galvão, A. R. 2022.
Entrepreneurial ecosystems and local economy sustainability: institutional
actors’ views on neo-rural entrepreneurship in low-density Portuguese territories.
Management of Environmental Quality: An International Journal. 33(1): 44-63.
https://doi.org/10.1108/MEQ-04-2021-0088
8.
De Rosa, M.; Bartoli, L.; Pia, M. 2019. Exploring territorial embeddedness in
rural entrepreneurship: A case-study in a remote rural area of Italy.
International Journal of Agricultural Management. 8(3): 119-123.
9.
del Olmo-García, F.; Domínguez-Fabián, I.; Crecente-Romero, F.; del Val-Núñez,
M. 2023. Determinant factors for the development of rural entrepreneurship.
Technological Forecasting and Social Change. 191: 122487.
10.
Deller, S.; Kures, M.; Conroy, T. 2019. Rural entrepreneurship and migration.
Journal of Rural Studies. 66: 30-42.
https://doi.org/10.1016/j.jrurstud.2019.01.026
11.
Dhewanto, W.; Ratnaningtyas, S.; Permatasari, A.; Anggadwita, G.; Prasetio, E.
2020. Rural entrepreneurship: towards collaborative participative models for
economic sustainability. Entrepreneurship and Sustainbility Issues. 8(1):
705-724. http://doi.org/10.9770/ jesi.2020.8.1(48)
12.
Fahmi, F.; Savira, M. 2023. Digitalization and rural entrepreneurial attitude
in Indonesia: a capability approach. Journal of Enterprising Communities:
People and Places in the Global Economy. 17(2): 454-478.
https://doi.org/10.1108/JEC-06-2021-0082
13.
Fanjul, A. P.; Herrera, L.; Munoz-Doyague, M. 2023. Fostering rural
entrepreneurship: An ex-post analysis for Spanish municipalities. Technological
Forecasting and Social Change. 197: 122915.
https://doi.org/10.1016/j.techfore.2023.122915
14.
Galvão, A. R.; Mascarenhas, C.; Marques, C.; Braga, V.; Ferreira, M. 2020.
Mentoring entrepreneurship in a rural territory-A qualitative exploration of an
entrepreneurship program for rural areas. Journal of Rural Studies. 78:
314-324. https://doi.org/10.1016/j.jrurstud.2020.06.038
15.
Ghouse, S. M.; Durrah, O.; McElwee, G. 2021. Rural women entrepreneurs in Oman:
problems and opportunities. International Journal of Entrepreneurial Behavior
& Research. 27(7): 1674-1695. https://doi.org/10.1108/IJEBR-03-2021-0209
16.
Guida-Johnson, B.; Vignoni, A. P.; Migale, G. M.; Aranda, M. A.; Magnano, A.
2024. Rural abandonment and its drivers in an irrigated area of Mendoza
(Argentina). Revista de la Facultad de Ciencias Agrarias. Universidad Nacional
de Cuyo. Mendoza. Argentina. 56(1): 35-47. DOI:
https://doi.org/10.48162/rev.39.121
17.
Greene, W. H. 2008. The econometric approach to efficiency analysis. The
Measurement of Productive Efficiency and Productivity Growth. 1(1): 92-250.
18.
Heinert, S. B.; Roberts, T. G. 2018. A Profile of exemplary rural agricultural
entrepreneurship education programs. Journal of Agricultural Education. 59(3):
291-308. https://doi. org/10.5032/jae.2018.03291
19.
Islas-Moreno, A.; Muñoz-Rodríguez, M.; Morris, W. 2021. Understanding the rural
entrepreneurship process: A systematic review of literature. World Review of
Entrepreneurship, Management and Sustainable Development. 17(4): 453-470.
https://doi.org/10.1504/ WREMSD.2021.116651
20.
Korsgaard, S.; Ferguson, R.; Gaddefors, J. 2015a. The best of both worlds: how
rural entrepreneurs use placial embeddedness and strategic networks to create
opportunities. Entrepreneurship & Regional Development. 27(9-10): 574-598.
https://doi.org/10.1080/08985626.2015. 1085100
21.
Korsgaard, S.; Müller, S.; Tanvig, H. W. 2015b. Rural entrepreneurship or
entrepreneurship in the rural-between place and space. International Journal of
Entrepreneurial Behavior & Research. 21(1): 5-26.
https://doi.org/10.1108/IJEBR-11-2013-0205
22.
López, M.; Cazorla, A.; Panta, M. del P. 2019. Rural entrepreneurship
strategies: Empirical experience in the Northern Sub-Plateau of Spain.
Sustainability. 11(5): 1243. https://doi. org/10.3390/su11051243
23.
McElwee, G.; Atherton, A. 2021. Rural entrepreneurship. In World encyclopedia of
entrepreneurship (p. 563-570). Edward Elgar Publishing.
https://doi.org/10.4337/9781839104145.00070
24.
Modrego, F.; Foster, W. 2021. Innovative rural entrepreneurship in Chile.
Ciencia e Investigación Agraria: Revista Latinoamericana de Ciencias de La
Agricultura. 48(3): 149-170.
25.
Muñoz, P.; Kimmitt, J. 2019. Rural entrepreneurship in place: an integrated
framework. Entrepreneurship and Regional Development. 31(9-10): 842-873.
https://doi.org/10.10 80/08985626.2019.1609593
26.
OECD. 2014. Innovation and modernising the rural economy. OECD Publishing.
https://doi.org/ http://dx.doi.org/10.1787/9789264205390-en
27.
Olmedo, L.; van Twuijver, M.; O’Shaughnessy, M. 2023. Rurality as context for
innovative responses to social challenges-The role of rural social enterprises.
Journal of Rural Studies. 99: 272-283.
https://doi.org/10.1016/j.jrurstud.2021.04.020
28.
Ondiba, H. A.; Matsui, K. 2019. Social attributes and factors influencing
entrepreneurial behaviors among rural women in Kakamega County, Kenya. Journal
of Global Entrepreneurship Research. 9(1): 2.
https://doi.org/10.1186/s40497-018-0123-5
29.
Sá, E.; Casais, B.; Silva, J. 2018. Local development through rural
entrepreneurship, from the Triple Helix perspective: The case of a peripheral
region in northern Portugal. International Journal of Entrepreneurial Behavior
& Research. 25(4): 698-716. https://doi.org/10.1108/ IJEBR-03-2018-0172
30.
Shivacharan, G.; Sudharani, V.; Vasantha, R.; Supriya, K. 2017. A study on
profile characteristics of rural young agri entrepreneurs. Int. J. Curr.
Microbiol. App. Sci. 6(11): 252-258. https://
doi.org/10.20546/ijcmas.2017.611.030
31.
Sidhu, K.; Kaur, S. 2006. Development of entrepreneurship among rural women.
Journal of Social Sciences. 13(2): 147-149. https://doi.org/10.1080/09718923.2006.11892543
32.
Sohns, F.; Revilla Diez, J. 2018. Explaining micro entrepreneurship in rural
Vietnam-a multilevel analysis. Small Business Economics. 50: 219-237. DOI:
10.1007/s11187-017-9886-2
33.
StataCorp. 2012. Stata Statistical Software: Release 12. College Station, TX:
StataCorp LP.
34.
Yu, J.; Zhou, J. X.; Wang, Y.; Xi, Y. 2013. Rural entrepreneurship in an
emerging economy: reading institutional perspectives from entrepreneur stories.
Journal of Small Business Management. 51(2): 183-195.
35.
Zin, M. L.; Ibrahim, H. 2020. The influence of entrepreneurial supports on
business performance among rural entrepreneurs. Annals of Contemporary
Developments in Management & HR (ACDMHR). DOI: 10.33166/ACDMHR.2020.01.004
36.
Zollet, S.; Monsen, E.; Chen, W.; Barber III, D. 2024. Rural entrepreneurship
education. In entrepreneurship education and pedagogy. SAGE Publications. 7(3).
https://doi. org/10.1177/25151274241235458