Rev. FCA UNCuyo | 2026 | 58(1) | ISSN 1853-8665
Economy and agricultural politics
https://doi.org/10.48162/rev.39.195
Social Welfare Effects of Water Security Improvements in Arid Regions: The Case of Mendoza, Argentina
Efectos sobre el bienestar social de mejoras en la seguridad hídrica en regiones áridas: el caso de Mendoza, Argentina
Verónica Inés Farreras González1, 2*,
Carolina Lauro1,
Laura Abraham3,
Pablo Federico Salvador2
1Instituto Argentino de Nivología, Glaciología y Ciencias Ambientales (CCT-CONICET-Mendoza). Av. Ruiz Leal s/n. Parque General San Martín. 5500 Mendoza. Argentina.
2Universidad Nacional de Cuyo. Facultad de Ciencias Económicas. M5502JMA. Mendoza. Argentina.
3Universidad Nacional de Cuyo. Facultad de Ciencias Agrarias. Cátedra de Administración Rural. Almirante Brown 500. M5528AHB. Chacras de Coria. Mendoza. Argentina.
*vfarreras@mendoza-conicet.gob.ar
Abstract
Water security is a critical challenge in Mendoza, Argentina, an arid region that faces rising water demand and uncertainty caused by climate change. Agriculture consumes 90% of the fresh water in the region, while vineyards occupy just over 60% of the cultivated area. This study estimates the social welfare effects of an improvement in water security achieved by reallocating water from vineyards to other uses. We used a multidisciplinary approach, applying benefit transfer to estimate social welfare changes and water footprint to quantify shifts in water availability. Our findings suggest that a water security policy in the Mendocinian Northern Oasis can result in an average 21-percentage-point increase in annual water availability for other uses. This equals an average household welfare gain of 17.43 US dollars per year (95% CI: 8.40-35.64) at 2024 prices over the next 30 years. This study offers a framework for regions worldwide facing similar challenges of water scarcity, increasing water demand, and climate change. Moreover, it can support the design of more informed water management strategies to ensure long-term water security.
Keywords: water security, social welfare, benefit transfer method, water footprint, water reallocation, arid regions, mendocinian northern oasis
Resumen
La seguridad hídrica es un desafío crítico en Mendoza, Argentina, una región árida que enfrenta una creciente demanda de agua y la incertidumbre generada por el cambio climático. La agricultura consume el 90% del agua dulce mientras que los viñedos ocupan más del 60% de la superficie cultivada. Este estudio estima los efectos sobre el bienestar social de una mejora en la seguridad hídrica mediante la reasignación de agua de viñedos a otros usos. Aplicamos un enfoque multidisciplinario, usando transferencia de beneficios para estimar cambios en el bienestar social y la huella hídrica para cuantificar variaciones en la disponibilidad de agua. Nuestros resultados sugieren que una política de seguridad hídrica en el Oasis Norte Mendocino puede generar un aumento promedio de 21 puntos porcentuales en la disponibilidad anual de agua para otros usos, lo que equivale a una ganancia anual promedio en bienestar de 17,43 USD por hogar (IC 95%: 8,40-35,64), a precios de 2024, durante los próximos 30 años. Este estudio ofrece un marco replicable en otras regiones con desafíos similares de escasez y creciente demanda hídrica, contribuyendo al diseño de estrategias de gestión del agua más informadas para garantizar la seguridad hídrica a largo plazo.
Palabras claves: seguridad hídrica, bienestar social, método de la transferencia de beneficios, huella hídrica, reasignación del agua, regiones áridas, oasis norte de Mendoza
Originales: Recepción: 03/06/2025- Aceptación: 26/09/2025
Introduction
On the eastern side of the Central Andes, mountain rivers flow through the Mendocinian landscapes, providing vital water resources to the region. As population and urban growth accelerate in an area where water demand is increasing, climate change is introducing greater uncertainty and variability in water availability (Lauro et al., 2022). If climate models prove accurate and current water management policies remain unchanged, Mendoza -a historically arid region- may become even drier in coming decades (Rivera et al., 2020). This scenario could exacerbate existing water scarcity, intensifying current challenges and threatening human welfare.
Currently, agriculture consumes approximately 90% of the fresh water in Mendoza (Duek, 2018). In this context, ensuring secure, sustainable and profitable food production while conserving water for alternative uses, including environmental preservation, requires improvements in agricultural water management efficiency (Pérez Blanco et al., 2020).
In response, recent efforts in Mendoza have focused on aligning water distribution with crop water requirements to improve water management efficiency (Villodas et al., 2023). However, previous studies, such as that of Morábito et al. (2005), had already addressed key aspects of this issue. Such efforts could enhance water security by conserving agricultural water to reallocate to other uses, potentially improving social welfare. However, the implications of these strategies for Mendocinian citizens’ welfare remain unclear.
Understanding the social welfare effects of water security management can provide crucial insights. For instance, if society were to intervene to enhance water security, what would be the maximum it would invest in water systems matching crop requirements? Alternatively, what economic compensation might society consider offering if the reforms necessary to achieve water security result in unintended consequences for certain users? Addressing these questions highlights the importance of economic valuation in public policy decisions.
Economic valuation is widely applied to estimate the monetary value of changes in people’s welfare resulting from ecological or environmental shifts (Carson et al., 1993). However, to our knowledge, this approach has not been applied to assess how changes in water security -through increased water availability and reallocation- affect welfare. The closest studies have addressed the economic valuation of certain aspects of water security, the role of prices in managing water scarcity, and governance issues (Farreras et al., 2017; Farreras and Abraham, 2020; Katz, 2016; Pellegrini et al., 2023; Pérez Blanco et al., 2020 and Zetland, 2021). Other related studies examine overexploitation, demand quantification for various uses, and the impacts of climate variability on water supply (Castex et al., 2015; Konapala et al., 2020; Lauro et al., 2021; Rivera et al., 2021).
Motivated by the importance of economic valuation in decision-making, our study combines economic and hydrological data from 2010 to 2020 in a case study. Our main aim is to estimate the changes in citizens’ welfare in the Mendocinian Northern Oasis due to improved water security. This improvement comes from reallocating water from vineyards -which cover just over 60% of the cultivated area- to industry, municipal areas, and non-viticultural crops. These changes are achieved while maintaining or even increasing grapevine production. The percentage of water allocated for the population is not included within the percentage of water available to other uses. This is because Mendoza Water Law 1884, which remains in effect, prioritises water supply for the population over other uses (DGI, 2016b).
This study provides a framework for regions worldwide facing similar water scarcity challenges. By assessing social welfare effects of an improvement in water security, it offers critical insights for decision-makers, policymakers, and resource managers in comparable global contexts. These insights support the design of more informed water management strategies, ensuring long-term water security.
Materials and Methods
Study Area
Because of the region’s dry climate, most agricultural and urban areas in Mendoza are confined to small parts of the territory. These oases were established using an irrigation system of ditches and canals that carefully follows the topography of the region. This system makes the most of the water coming from mountain rivers, whose streamflow is the result of melting snow and Andean glaciers. It is also supported by groundwater boreholes (Monnet et al., 2022; Morábito et al., 2007). In Mendoza, the irrigation water is managed as a common resource through political and collective processes. Therefore, long-term water security depends on strong institutions and deep reforms (Zetland, 2021).
Between 2010 and 2020, mountain rivers in Mendoza experienced a significant hydrological deficit due to reduced snowfall associated with climate variability and climate change (Rivera et al., 2021). Under different global warming scenarios, climate projections for components of the hydrological cycle in the Central Andes indicate further reductions in snowfall and river flows. These effects will undoubtedly impact the availability of water resources, highlighting the need for efficient water use (Castex et al., 2015; Rivera et al., 2020).
Our area of study, the Mendocinian Northern Oasis irrigated by the Mendoza and Tunuyán Inferior Rivers, is home to more than half of the province’s total population (figure 1). This region is characterised by an arid and semi-arid climate. The average annual minimum and maximum temperatures are 11°C and 23°C, respectively, with an annual rainfall of 267 mm (SMN, 2024). The soils are classified as typical Torrifluvents with a loamy texture (INTA, 1990).
Source: Own elaboration based on data from the National Sanitary Registry of Agricultural Products (RENSPA), the Territorial Environmental Information System (SIAT), and the National Geographic Institute (IGN).
Fuente: Elaboración propia basada en datos del Registro Nacional Sanitario de Productores Agropecuarios (RENSPA), el Sistema de Información Ambiental Territorial (SIAT) y el Instituto Geográfico Nacional (IGN).
Figure 1. Farm units with grapevine cultivation in the Mendocinian Northern Oasis.
Figura 1. Explotaciones agropecuarias con cultivo de vid en el Oasis Norte de Mendoza.
Although agricultural landscapes exhibit considerable crop diversity, grapevine crops -Vitis vinifera- are predominant, covering just over 60% of the cultivated area (INDEC, 2018). Among the diverse grape varieties grown, three dominate nearly 50% of the vineyards: Malbec (22.36%), Bonarda (11.75%), and Cereza (11.50%). The average annual grape production between 2008 and 2017 was approximately 1.1 million tonnes (INV, 2020).
Given the extensive area of vineyards in the oasis, the efficient use of water is crucial. However, around 75% of grape-growing farms rely on surface irrigation systems, one of the least water-efficient methods compared to pressurised systems (INDEC, 2018). Furthermore, the water distribution system disregards crop-specific requirements, delivering the same amount of water per hectare regardless of actual needs. Consequently, regional challenges related to water scarcity are further exacerbated by current management, increasing uncertainty in the availability at the oasis level and hindering efficient allocation. This underscores the need for sustainable and efficient water management to ensure long-term water security.
In this study, we adopted a multidisciplinary approach. The benefit transfer method (BTM), widely used in the field of economics, was applied to extrapolate values obtained from a previous study site to a policy site. These values were used to predict welfare changes in the Mendocinian Northern Oasis under water security policies that would reallocate agricultural water to other uses. Additionally, a hydrological approach -specifically, the water footprint (WF) methodology proposed by Hoekstra et al. (2011)- was employed to estimate changes in water availability for these alternative uses. This integrated approach, used to estimate the total economic value (TEV) of a water security improvement policy, is summarised below and illustrated in figure 2.
Source: Own elaboration.
Fuente: Elaboración propia.
Figure 2. Methodological framework integrating economic and hydrological approaches to estimate the TEV of a water security improvement policy.
Figura 2. Esquema metodológico que combina enfoques económico e hidrológico para estimar el valor económico total de una política de mejora de la seguridad hídrica.
First, we identified potential study sites to infer the change in citizens’ welfare in the Mendocinian Northern Oasis resulting from a water security improvement policy. Since welfare is assumed to derive from the preferences satisfaction, it can be quantified using the willingness to pay (WTP). To enhance welfare change prediction accuracy, we adjusted the estimated WTP at the study site to align with the policy site conditions. The process is formally outlined as follows:
Where WPTpolicy site represents the value of a marginal change in water security -achieved through a policy that conserves agricultural water for reallocation to other uses- adjusted to the policy site’s conditions. WPTstudy site refers to the value of a water security change estimated in one or more previous studies, which requires adjustment. F, the adjustment factor, accounts for these differences.
Factor 𝐹 may represent different types of adjustments, depending on the similarity between the study and the policy sites. The degree of similarity is crucial in determining both the extent and the nature of these adjustments (Boutwell and Westra, 2013; Johnston et al., 2021).
Second, we calculated the average annual water availability for other uses (WAOU 1study site). This calculation was based on the water distribution system aligned with the water requirements of grapevine crops in the Mendocinian Northern Oasis. To achieve this, we first estimated the WF of grapevine crops and determined the required volume of water according to their specific needs. The steps involved in this estimation are outlined below.
Initially, specific data on rainfall, minimum and maximum temperatures, and relative humidity were collected from six weather stations in the Mendocinian Northern Oasis (2010-2020). Then, we used these data to divide the oasis into six climatic microregions based on each station’s influence area. As a result, each microregion retains the name of its corresponding weather station.
The WF is an environmental indicator that accounts for the average volume of water required according to the water needs of crops, expressed per unit of product, i.e., volume per unit of mass (m3 tonne-1).
The WF is calculated as the ratio between the volume of crop water use (CWU, m3 ha-1) throughout the entire crop growth period -from sprouting to harvest- and crop yield (Y, tonne ha-1). The CWU is the volume of water required to compensate for a crop’s evapotranspiration losses and to prevent crop water stress. This CWU can be divided into two components: the blue CWU -irrigation water- and the green CWU- effective rain.
For this research, we estimated the blue CWU (CWUblue, m3 ha-1) and the green CWU (CWUgreen, m3 ha-1) for each of the six microregions. The green and blue CWU were calculated from the accumulation of daily evapotranspiration (ET, mm day-1) during the growing period, from sprouting to harvest. To perform these estimations, we used the CROPWAT program (FAO, 2024). For this, we incorporated meteorological data (table 1), grapevine crop parameters (Allen et al., 1998; Civit et al., 2018; Rodriguez et al., 2000), and sandy loam soil properties estimated with the Soil Water Characteristics software (USDA, 2024).
Table 1. Location of weather stations and average meteorological data (2010-2020).
Tabla 1. Ubicación de las estaciones meteorológicas y datos promedio (2010-2020).

Source: Own elaboration based on data from the Agriculture and Climate Contingencies Agency (DACC, 2021) of Mendoza province.
Fuente: Elaboración propia basada en datos de la Dirección de Agricultura y Contingencias Climáticas (DACC, 2021) de la provincia de Mendoza.
Using the blue and green CWU values for each of the six microregions, the specific blue and green WF of vineyards at the microregion level was inferred separately from Equations (2) and (3), respectively.
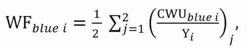
Where WFblue i represents the average blue WF in the i-th microregion, taking into account both surface and pressurised irrigation systems; CWUblue i is the blue CWU in the i-th microregion; Yi is the yield per hectare in the i-th microregion; and j is the irrigation method, ranging from 1 to 2 (specifying, j = 1 surface and j =2 pressurised irrigation systems). The distinction in the irrigation systems was considered using various crop coefficients (Kc) to account for the differences in water requirements between surface (j = 1) and pressurised (j = 2) irrigation methods.
Where WFgreen i represents the average green WF in the i-th microregion, taking into account both surface and pressurised irrigation systems; CWUgreen i is the green CWU in the i-th microregion; Yi is the yield per hectare in the i-th microregion; and j is the irrigation method, ranging from 1 to 2 (specifying, j = 1surface and j =2 pressurised irrigation systems).
Then, the average values for both the blue and green WF were calculated at the oasis level, formally:
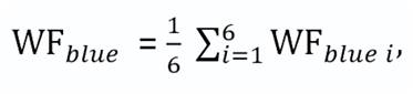
Where WFblue represents the average blue WF at oasis level; WFblue i the blue WF in the i-th microregion; and i the microregion, ranging from 1 to 6. Each i represents a distinct microregion within the oasis.
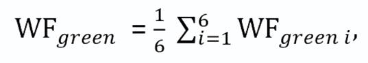
Where WFgreen represents the average green WF at oasis level; WFgreen i the green WF in the i-th microregion; and i the microregion, ranging from 1 to 6. Each i represents a distinct microregion within the oasis.
Once the average values for the blue WF (m3 tonne-1) were calculated at the oasis level (Equation 4), the water availability for other uses (WAOU1policy site) in the oasis was derived from Equation (6):
Where WAOU1policy site represents the average annual percentage of water availability for other uses that could be achieved at the policy site, if the water distribution system were aligned with the water requirements of grapevine crops; VWpolicy corresponds to the average annual volume of water allocated to viticulture in the oasis (m3 year-1); and AW (agricultural water) is the average annual volume of water allocated to agricultural use (m3 year-1).
Figure 3 and figure 4, illustrate the respective processes used to estimate the average annual irrigation water volumes allocated to viticulture (VWpolicy, m3 year-1) and agriculture (AW, m³ year-1) in the oasis.
Source: Own elaboration.
Fuente: Elaboración propia.
Figure 3. Process for estimating the average annual volume of irrigation water allocated to viticulture in the Mendocinian Northern Oasis.
Figura 3. Proceso para estimar el volumen promedio anual de agua de riego asignado a la viticultura en el Oasis Norte de Mendoza.
Source: Own elaboration.
Fuente: Elaboración propia.
Figure 4. Process for estimating the average annual volume of irrigation water allocated for agricultural use in the Mendocinian Northern Oasis.
Figura 4. Proceso para estimar el volumen promedio anual de agua de riego asignado al uso agrícola en el Oasis Norte de Mendoza.
Next, we calculated the current average annual water availability for other uses in the policy site, formally:
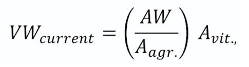
Where WAOU0policy site represents the average annual percentage of current water availability for other uses in the policy site; VWcurrent (Equation 8) is the current average annual volume of water allocated to viticulture (m3 year-1); and AW is the average annual volume of water allocated to agricultural use (m3 year-1) in the oasis.

Where VWcurrent represents the current average annual volume of water allocated to viticulture in the policy site; AW is the average annual volume of water allocated to agricultural use (m3 year-1); Avit. (ha) is the area under vines in the oasis; and Aagr. (ha) is the total cultivated area in the oasis (INDEC, 2018).
We then calculated the percentage points that could be reallocated from vineyards to other uses in the oasis. This was based on increased water availability and its subsequent reallocation following the implementation of a water security improvement policy (Equation 9).
Where E [ ∆ W A] denotes the expected change in average annual water availability resulting from the water security improvement policy; WAOU1policy site is the average annual percentage of water availability for other uses that could be achieved in the policy site if the water distribution system were aligned with the water requirements of grapevine crops; and WAOU0policy sity is the average annual percentage of current water availability for other uses in the policy site.
Finally, we estimated the TEV of a water security improvement policy in the Mendocinian Northern Oasis by applying Equation (10):
Where E [ ∆ W A] is the expected change in average annual water availability resulting from water security improvement policies; and WTPpolicy site is the value of a marginal change in water security -achieved through a policy that conserves agricultural water for reallocation to other uses- adjusted to the conditions of the policy site.
Results and Discussion
The results follow five methodological stages to predict the TEV of a water security improvement policy in the Mendocinian Northern Oasis (figure 2). The practical implications of these results are discussed in the context of water security management, focusing on efficient agricultural water allocation and conservation strategies.
Value of a Marginal Change in Water Security Adjusted to the Conditions of the Policy Site
According to Rosenberger and Loomis (2003) and Johnston et al. (2021), the study site was selected for its similarity to the policy site in four categories. These categories are: (i) socio-economic characteristics, (ii) biophysical conditions, (iii) proposed environmental changes, and (iv) economic valuation objectives.
A comprehensive literature review was then conducted to identify potential study sites that met these criteria. This process led to the selection of the study by Farreras and Abraham (2020). They estimated the welfare effects of adapting viticultural management practices to climate change in the Mendocinian Northern Oasis. The study applied the discrete choice experiment (DCE) method, a valuation technique consistent with welfare economic theory (Bennett and Blamey, 2001). This method relies on society’s stated maximum WTP to avoid or accept a marginal change in the quantity or quality of an environmental good’s attribute. This is achieved through the design of hypothetical markets presented via questionnaires. Additionally, the use of the DCE at the study site allows for the identification of marginal values for specific environmental attributes and has been shown to perform better than other economic valuation methods when benefit transfers are required (Hanley et al., 1998).
Surveys at the study site were conducted in spring 2017. A representative sample of citizens of the Northern Oasis of Mendoza was interviewed. The sample consisted of randomly selected individuals aged between 24 and 80 years, all residing in cities with populations of over 10,000 inhabitants. Approximately 90% of those approached agreed to be interviewed. The interviews were conducted face-to-face in the respondents’ homes, resulting in 678 valid observations.
Environmental Attributes and Levels Used at the Study Site
The study valued three attributes related to adapting vineyard practices to climate change in Mendoza: (1) water availability for other uses, (2) use of chemical fertilisers, and (3) use and conservation of biodiversity. Given the objective of this study, the primary attribute of interest is the availability of water for other uses.
The attribute had four levels-41% (business-as-usual, BAU), 53%, 65%, and 76%. These represent the average water available in 30 years for other uses: industry, public areas (green spaces, urban trees), and irrigation of non-vineyard crops. These levels ranged from the value expected under a BAU scenario to values above the BAU level. The BAU level shows the situation projected in 30 years from now under non-adaptive management practices in Mendocinian vineyards. Other levels show potential outcomes from adapting viticultural practices to climate change.
Marginal Benefit or Value to Be Transferred
The study by Farreras and Abraham (2020) estimated that a representative citizen of the Mendocinian Northern Oasis was, on average, willing to pay 13.05 (95% CI: 6.24-27.28) Argentine pesos [0.74 (95% CI: 0.35-1.55) US dollars] per household annually for an additional percentage point in water availability for other uses, at 2017 prices subject to adjustment for inflation, over the next 30 years. Figures in parentheses indicate the limits of the 95% confidence interval.
Adjustment Process
We adjusted the estimated values at the study site to align with the conditions of the policy site, following the methodology of Rolfe et al. (2015). Their study demonstrated that transferring values between similar sites requires straightforward adjustments. Since the study and policy sites coincide, inflation was the adjustment factor used to align information and ensure accurate value estimates for the policy site.
Adjustment for Inflation
The estimated values at the study site were adjusted using the Consumer Price Index (CPI). This adjustment accounts for inflation between the interview period (September 2017) and November 2024 (Equation 1). The accumulated inflation over this period was 6,393% (INDEC, 2024). Therefore, a representative citizen of the Mendocinian Northern Oasis is estimated to be, on average, willing to pay 847.34 (95% CI: 405.16-1,771.29) Argentine pesos [0.83 (95% CI: 0.40-1.74) US dollars] per household annually for an improvement in water security equivalent to an additional percentage point in water availability for other uses, at 2024 prices over the next 30 years. Average exchange rate in November 2024: 1 US dollar equals 1,019.56 Argentinean pesos.
Average Annual Water Availability for Other Uses Based on a Water Distribution System Aligned with the Water Requirements of Grapevine Crops in the Policy Site
Using meteorological, grapevine, and soil data, we estimated the blue and green WF of vineyards at the microregional level by applying Equation (2), and Equation (3), respectively. Figure 5A, depicts the blue and green WF for each of the six microregions within the Northern Oasis of Mendoza.
Source: Own elaboration.
Fuente: Elaboración propia.
Figure 5. Blue and green WF (m3 tonne-1) (A) for each of the six microregions and (B) for the Mendocinian Northern Oasis.
Figura 5. Huella hídrica azul y verde (m3 tonelada-1) (A) para cada una de las seis microrregiones y (B) para el Oasis Norte de Mendoza.
Given that the crop requires more water than is provided by rainfall, the deficit is compensated through irrigation. As a result, the blue WF exceeded the green WF across all microregions. The Jocolí microregion had the highest blue WF, at 795 m3 tonne-1, while the Medrano microregion had the lowest, at 437 m3 tonne-1.
The variations in WF across microregions result from a variety of factors, including local climate conditions and agricultural management practices. This information may be particularly useful for stakeholders involved in promoting efficient water allocation and conservation strategies. For instance, a decision-maker may prioritise water distribution based on specific crops’ water requirements. The analysis of the WF enables the design of distribution schemes tailored to these local needs. In this context, for the same crop and irrigation system, microregions with higher WF need more water than those with lower footprints. If resource distribution aligns with irrigation water demand, it becomes possible to reduce water deliveries in certain microregions without compromising agricultural productivity or associated ecosystems. This approach increases water availability at the oasis scale, enabling more efficient resource reallocation and strengthening long-term water security without sacrificing productivity or ecosystem integrity (Grafton et al., 2018).
Meanwhile, the Mendocinian Northern Oasis averages 682 m³/tonne blue WF (Equation 4) and 126 m³/tonne green WF (Equation 5), as shown in figure 5B). This highlights the dominance of irrigation water over effective rainfall in meeting the vineyard water requirements in this region.
These results partially align with previous findings in the literature. For example, Civit et al. (2018) estimated that the blue WF for the most important varietals in the five wine-producing regions of Mendoza ranges from 540.53 m³ tonne-¹ to 1,020.03 m³ tonne-¹. On a global scale, Mekonnen and Hoekstra (2011) reported an average blue WF of 608 m³ tonne-¹ in viticulture production for the period 1996-2005. Similarly, Herath et al. (2013) documented blue WFs of 601 m³ tonne-1 and 611 m³ tonne-¹ in vineyards in the Gisborne and Marlborough regions of New Zealand, respectively. These findings emphasise reliance on irrigation in viticulture. About 84% of vineyard water needs were met through irrigation during the analysed period. This underscores the need for sustainable water resource management.
We estimated that, under a water distribution system aligned with the grapevine crops’ water requirements, 69% of water could, on average, be available annually for other uses (Equation 6; figure 6A). This estimate is based on the average annual water volumes allocated to viticulture (figure 3) and agriculture (figure 4).
Figure 6. Average annual percentage of water availability for other uses in the Mendocinian Northern Oasis estimated under (A) the implementation of a water security improvement policy and (B) the current water management.
Figura 6. Porcentaje promedio anual de disponibilidad hídrica para otros usos en el Oasis Norte de Mendoza estimado bajo (A) la implementación de una política de mejora de la seguridad hídrica y (B) la gestión hídrica actual.
Current Average Water Availability for Other Uses in the Policy Site
We estimated that, on average, 48% of water is currently available annually for other uses in the Mendocinian Northern Oasis (Equation 7; figure 6B). This estimate is based on current average annual water volumes allocated to viticulture (Equation 8) and agriculture (figure 4).
Expected Change in Average Annual Water Availability Due to a Water Security Improvement Policy
Next, we estimated the average percentage points of irrigation water that could be reallocated from vineyards to other uses under a water security improvement policy (Equation 9). The average reallocation was estimated at 21 percentage points. This volume could be redistributed to industry, municipal spaces (green areas, urban trees), and irrigation of non-viticultural crops.
Total Economic Value of a Water Security Improvement Policy in the Policy Site
Assuming unitary price elasticity, the TEV of reallocating an average of 21 percentage points of water from vineyards to other uses can be estimated. This is calculated by multiplying the 21-percentage-point change by the value of a one-percentage-point increase in water availability for other uses.
Applying Equation (10), a water security policy that increases average annual water availability for other uses by 21 percentage points corresponds to an average household welfare gain of ARS 17,794.14 [USD 17.43] per year at 2024 prices (95% CI: ARS 8,508.36-37,197.09 [USD 8.40-36.54]) over the next 30 years.
Direct comparisons are difficult due to differing units used to estimate WTP (e.g., per hectare, time horizon). However, this finding aligns with Pellegrini et al. (2023), who estimated social welfare changes associated with improvements in specific water security components. Based on their literature review, they reported households’ willingness to pay between 9.68 and 209.66 US dollars per year for water purification services. For biodiversity habitat conservation, willingness to pay ranged from 17.23 to 106.40 US dollars. For cultural services such as aesthetic and recreational benefits, willingness to pay ranged from 17.23 to 156.99 US dollars. WTP in the study of Pellegrini et al. (2023) are expressed in Euros. We expressed them in US dollars using the average 2023 daily Euro - USD exchange rate published, 1.08268509, by www.macrotrends.net
Our study adopts a comprehensive approach to value a water security improvement policy, explicitly addressing water reallocation to alternative uses. This analysis helps fill a gap by providing a broader perspective that accounts for welfare associated with overall water security enhancement.
Conclusions
Globally, many regions face severe water scarcity, worsened by global changes increasing uncertainty and variability in water availability. In this context, a paradigm shift in water resource management is crucial. Aligning water allocation with crop requirements improves management efficiency and strengthens long-term water security, while protecting agricultural productivity and the integrity of ecosystems. Understanding the benefits of such strategies is essential for their successful implementation. This study addresses this gap by estimating the changes in social welfare resulting from improved water security.
A distinctive contribution of our study lies in the estimation of social welfare changes resulting from water security improvements, expressed in monetary terms. This information is particularly valuable for decision-makers, policymakers, and natural resource managers. For example, with a fixed budget for a water security improvement policy, decision-makers can evaluate whether the costs outweigh the monetary benefits provided to citizens. Similarly, this estimation allows policymakers to allocate resources efficiently and justify major water security reforms to stakeholders and the public by emphasising socio-economic benefits.
Our study found that the TEV of a water security improvement policy in the Northern Mendocinian Oasis -resulting in a 21-percentage-point average increase in the annual water availability for other uses- is equivalent to an average household welfare gain of ARS 17,794.14 [USD 17.43] per year at 2024 prices (95% CI: ARS 8,508.36-37,197.09 [USD 8.40-36.54]) over the next 30 years.
These findings offer decision-makers a robust basis for assessing the costs and benefits of investments in water security, thereby enabling more informed public policy decisions.
Following the guidance of experts in BTM, the method was carefully applied to ensure a state-of-the-art implementation. Recognising that transfer errors often arise from differences between study and policy sites, we prioritised ensuring similarity across four categories: (i) socio-economic characteristics, (ii) biophysical conditions, (iii) proposed environmental changes, and (iv) economic valuation objectives. This approach aimed to minimise transfer errors and establish benefit transfer as a robust tool for obtaining the TEV of a water security improvement policy.
Nevertheless, data limitations led to restrictive assumptions. For instance, the estimation of water reallocation from vineyards to other uses relied solely on surface water data. This may have resulted in an underestimation of the policy’s TEV. Similarly, the WF estimation of vineyards did not account for inefficiencies in the irrigation system, potentially leading to an overestimation of the policy’s TEV. Therefore, our results should be interpreted as approximations, within the context of these limitations.
In summary, this study demonstrates that social welfare is expected to increase through the implementation of water security improvement policies. It provides a framework for regions worldwide where irrigation water is a common resource facing challenges like water scarcity, rising water demand, and climate change. By assessing social welfare effects of an improvement in water security, it offers critical insights for decision-makers, policymakers, and resource managers in comparable global contexts. These insights support the design of more informed water management strategies, ensuring long-term water security.
Acknowledgements
We sincerely thank the two anonymous referees for their valuable contributions, which have greatly improved the quality of this article. We also acknowledge the support of the Secretaría de Investigación, Internacionales y Posgrado (SIIP) at Universidad Nacional de Cuyo through project SIIP: 06/D006-T1.
Allen, R. G., Pereira, L. S., Raes, D. & Smith, M. (1998). Crop evapotranspiration: Guidelines for computing crop water requirements (FAO Irrigation and Drainage Paper N° 56). Food and Agriculture Organization of the United Nations.
Bennett, J. & Blamey, R. (2001). The choice modelling approach to environmental valuation (p. 269). Edward Elgar Publishing.
Boutwell, J. L. & Westra, J. V. (2013). Benefit transfer: A review of methodologies and challenges. Resources, 2(4), 517-527. https://doi.org/10.3390/resources2040517
Carson, R. T., Carson, N., Alberini, A., Flores, N. & Wright, J. (1993). A bibliography of contingent valuation studies and papers. Natural Resources Damage Assessment.
Castex, V., Morán, E. & Beniston, M. (2015). Water availability, use and governance in the wine producing region of Mendoza, Argentina. Environmental Science & Policy, 48, 1-8. https:// doi.org/10.1016/j.envsci.2014.12.008
Civit, B., Piastrellini, R., Curadelli, S. & Arena, A. P. (2018). The water consumed in the production of grapes for vinification (Vitis vinifera): Mapping the blue and green water footprint. Ecological Indicators, 85, 236-243.
Dirección de Agricultura y Contingencias Climáticas. (2021). Informe técnico [Dataset].
Departamento General de Irrigación. (1999). Plan hídrico para la provincia de Mendoza. Bases y propuestas para el consenso de una política de estado. Gobierno de Mendoza.
Departamento General de Irrigación. (2015). Balance hídrico río Tunuyán Inferior (Cap. 5, p. 129).
Departamento General de Irrigación. (2016a). Balance hídrico río Mendoza (Cap. 4, p. 128).
Departamento General de Irrigación. (2016b). Aquabook. http://aquabook.agua.gob.ar/
Duek, A. E. (2018). Escenarios de uso sostenible del recurso hídrico en el sector agrícola de Mendoza. 4° Encuentro de Investigadores en Formación en Recursos Hídricos, 11. https://www.ina. gov.ar/ifrh-2018/pdf/IFRH_2018_paper_4.pdf
Farreras, V., Riera, P., & Salvador, P. F. (2017). Environmental valuation with periodical payments in high-inflation economies: An Argentinean case study. Ecological Economics, 138, 56-63. https://doi.org/10.1016/j.ecolecon.2017.03.028
Farreras, V., & Abraham, L. (2020). Valuation of viticultural adaptation to climate change in vineyards: A discrete choice experiment to prioritize trade-offs perceived by citizens. Wine Economics and Policy, 9(2), 99-112.
Food and Agriculture Organization of the United Nations. (2024). CROPWAT 8.0 for Windows [Computer software]. https://www.fao.org/land-water/databases-and-software/cropwat/en/
Grafton, R. Q., Williams, J., Perry, C. J., Molle, F., Ringler, C., Steduto, P., Udall, B., Wheeler, S. A., Wang, Y., Garrick, D., & Allen, R. G. (2018). The paradox of irrigation efficiency. Science, 351, 748-750.
Hanley, N., Wright, R. E., & Adamowicz, V. (1998). Using choice experiments to value the environment. Environmental and Resource Economics, 11: 413-428. https://doi. org/10.1023/A:1008287310583
Herath, I., Green, S., Singh, R., Horne, D., van der Zijpp, S., & Clothier, B. (2013). Water footprinting of agricultural products: A hydrological assessment for the water footprint of New Zealand’s wines. Journal of Cleaner Production, 41, 232-243.
Hoekstra, A. Y., Chapagain, A. K., Aldaya, M. M., & Mekonnen, M. M. (2011). The water footprint assessment manual: Setting the global standard. Routledge. https://waterfootprint.org/ resources/TheWaterFootprintAssessmentManual_English.pdf
Instituto Nacional de Estadísticas y Censo. (2018). Censo Nacional Agropecuario 2018. Cuadros estadísticos. https://www.indec.gob.ar/indec/web/Nivel4-Tema-3-8-87
Instituto Nacional de Estadísticas y Censo. (2024). [Dataset]. https://www.indec.gob.ar/ftp/cuadros/ economia/sh_ipc_12_24.xls
Instituto Nacional de Tecnología Agropecuaria. (1990). Atlas de Suelos de la República Argentina.
Instituto Nacional de Vitivinicultura. (2020). Relevamiento Vitivinícola Argentino-Sector Primario. https://www.argentina.gob.ar/inv/vinos/estadisticas/regiones-vitivinicolas
Johnston, R. J., Boyle, K. J., Loureiro, M. L., Navrud, S., & Rolfe, J. (2021). Guidance to enhance the validity and credibility of environmental benefit transfers. Environmental and Resource Economics, 79, 575-624. https://doi.org/10.1007/s10640-021-00574-w
Katz, D. (2016). Undermining demand management with supply management: Moral hazard in Israeli water policies. Water, 8(4), 159. https://doi.org/10.3390/w8040159
Konapala, G., Mishra, A. K., Wada, Y., & Mann, M. E. (2020). Climate change will affect global water availability through compounding changes in seasonal precipitation and evaporation. Nature Communications, 11, 3044. https://doi.org/10.1038/s41467-020-16757-w
Lauro, C., Vich, A. I. J., Otta, S., Moreiras, S. M., Vaccarino, E., & Bastidas, L. (2021). Recursos hídricos superficiales de la vertiente oriental de los Andes Centrales (28°-37°S) en contexto de variabilidad hidroclimática. Boletín de Estudios Geográficos, 116, 45-71.
Lauro, C., Vich, A. I. J., Rivera, A., Otta, S., Moreiras, S. M., Bastidas, L., & Vaccarino, E. (2022). Patrones de variabilidad hidroclimática en los Andes Centrales (30-37°S) de Argentina. Geoacta, 44(1), 1-22.
Mekonnen, M., & Hoekstra, A. Y. (2011). The green, blue and grey water footprint of crops and derived crop products. Hydrology and Earth System Sciences, 15(5), 1577-1600. https://doi. org/10.5194/hess-15-1577-2011
Monnet, M., Vignola, R., & Aliotta, Y. (2022). Smallholders’ water management decisions in the face of water scarcity from a socio-cognitive perspective: Case study of viticulture in Mendoza. Agronomy, 12(11), 2868. https://doi.org/10.3390/agronomy12112868
Morábito, J., Mirábile, C., Salatino, S., Pizzuolo, P., Chambouleyron, J., & Fasciolo, G. (2005). Eficiencia de riego actual y potencial en el área regadía del río Mendoza. https://repositorio.ina.gob.ar/ items/cd398433-7fa6-4b9c-adb9-0b7ebc2dcb97
Morábito, J., Mirábile, C., & Salatino, S. (2007). Eficiencia del riego superficial, actual y potencial, en el área de regadío del río Mendoza (Argentina). Ingeniería del Agua, 14, 199-214. https:// doi.org/10.4995/ia.2007.2912
Pellegrini, E., Dalmazzone, S., Fasolino, N. G., Frontuto, V., Gizzi, P., Luppi, F., Moroni, F., Raggi, M., Zanni, G., & Viaggi, D. (2023). Economic analysis under the Water Framework Directive: The state of the art and way forward. Water, 15(23), 4128. https://doi.org/10.3390/w15234128
Pérez Blanco, C. D., Hrast Essenfelder, A., & Perry, C. (2020). Irrigation technology and water conservation: A review of the theory and evidence. Review of Environmental Economics and Policy, 14(2).
Rivera, J. A., Naranjo Tamayo, E., & Viale, M. (2020). Water resources change in Central-Western Argentina under the Paris Agreement warming targets. Frontiers in Climate, 2, 587126. https://doi.org/10.3389/fclim.2020.587126
Rivera, J., Lauro, C., & Otta, S. (2021). Cuantificación del déficit hidrológico reciente en la región de Cuyo a partir de indicadores de caudales bajos. Boletín de Estudios Geográficos, 116, 23-44.
Rodríguez, J., De la Iglesia, F., & Ocvirk, M. (2000). Fenología de cultivares de vid (Vitis vinífera L.) en Luján de Cuyo. Revista de la Facultad de Ciencias Agrarias, 32(2), 15-24. http://bdigital. uncu.edu.ar/11001
Rolfe, J., Windle, J., & Johnston, R. J. (2015). Applying benefit transfer with limited data: Unit value transfers in practice. In R. J. Johnston, J. Rolfe, R. S. Rosenberger, & R. Brouwer (Eds.), Benefit transfer of environmental and resource values: A guide for researchers and practitioners (p. 381-398). Springer.
Rosenberger, R., & Loomis, J. (2003). Benefit transfer. In P. Champ, K. Boyle, & T. Brown (Eds.), A primer on nonmarket valuation (p. 445-482). Kluwer Academic Publishers.
Servicio Meteorológico Nacional. (2024). Estadísticas climatológicas normales período 1991–2020. https://www.smn.gob.ar/descarga-de-datos
United States Department of Agriculture. (2024). Soil water characteristics (Version 6.02.72) [Computer software]. https://www.ars.usda.gov/research/software/ download/?softwareid=492&modecode=80-42-05-10
Villodas, R., Andino, M., Baduí, M. T., & Marinelli, S. (2023). Distribución de riego en función de la demanda-cuenta de agua. XXVII Congreso Nacional del Agua, Buenos Aires, Argentina.
Zetland, D. (2021). The role of prices in managing water scarcity. Water Security, 12, 100081. https:// doi.org/10.1016/j.wasec.2020.100081